基本介紹
基本常數
基本常數自然界存在一些重要的基本常數(通用常數)fundamental constants(universal constants),這些參數遍及各處都是不變的。例如質子和電子的電荷e、質子的質量 、電子的質量 、光在真空中的速度c、普朗克常數h、玻爾茲曼常數k等。為什麼說它們是自然界重要的基本常數?下面舉幾個例子說明。
質子和電子電荷
基本常數這一數據是國際科技數據委員會的最新(1998年12月3日)推薦值(下同)。其中C為電荷的單位庫侖。
自然界所有物質的電荷都是e的整數倍。所以物質的電荷不是連續的,而是一份一份的,最小份額就是e,這就是通常所說的物質電荷是量子化的。e是電荷的基本單元。
近代物理學預言了夸克的存在,認為每個夸克攜帶1/3e或2/3e的電荷,稱為分數電荷。分數電荷的預言引起了人們的極大震動,因為這將打破e是電荷基本單元的概念。但是到目前為止尚未發現自由的夸克,也就是說分數電荷的假設還沒有得到證實,人們仍然維持著e是電荷基本單元的概念。
質子質量
質子和電子的質量是另外兩個重要的基本常數,它們的現代測定值為:
基本常數
基本常數質子和電子都存在各自的反粒子,即負質子和正電子,它們的質量分別和質子、電子的質量相等,電荷和質子、電子的符號相反而數值相等。質子、電子和負質子、正電子分別互為反粒子,即質子、電子分別也是負質子、正電子的反粒子。
基本常數基本粒子族群中有許多粒子,除了光子和中微子等靜止質量為零或接近零的粒子外,自由粒子中,只有質子、電子和它們的反粒子是穩定粒子,其餘都是不穩定的。因此這幾種粒子的電荷和質量顯得格外突出,為什麼這樣一個數值就能形成穩定的粒子,而其他數值就都是不穩定的,其中必有緣故。可以認為 等數據中包含了自然界的重大秘密。
正、負質子、電子和各自的反粒子相遇時將發生湮滅,轉化為其他粒子。既然負質子、正電子和它們的反粒子非常相似,而我們周圍的世界又都由質子和電子構成,為什麼很少見到負質子和正電子呢?有人認為,宇宙中存在另一個世界,基本上由負質子和正電子構成,不過那個世界離我們生活的世界十分遙遠,人類是難以到達的。幸虧它們相距遙遠,這兩個世界不能相遇,否則勢必引發湮滅反應,造成兩敗俱傷。是不是真的存在一個由負質子和正電子構成的世界?這也只是一種猜測,有待進一步證實。
光速
基本常數c是光在真空中的傳播速度,也就是光子的運動速度,是另一個奇妙的物理量。
就目前了解,光速是物質運動的速度極限。光速的另一個奇妙的特性是,在不同速度的坐標系中測量的光速都是相同的,稱為 光速不變原理。這就是說,不論光源是否在運動,測得的光速都是c。這是不可思議、有悖於常理的。根據我們的經驗,在不同速度的坐標系中測定的物體速度是不同的,例如飛機中靜止的物體,地面上人看來正在高速運動中。但是光速卻不是這樣。
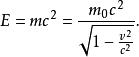
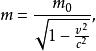
愛因斯坦根據光速不變性原理創建了狹義相對論,給出了以下兩個公式,顯示了光速的另外一層意義:
基本常數
基本常數
基本常數第一個式子表示物體的質量m隨物體速度v的增加而增加。通過這個關係,將質量和速度兩個物理量聯繫了起來。其中 為靜止質量,當速度v接近光速c時,質量m將趨於無限大。從這一點也可以說明c是物體的速度極限。
基本常數第二個式子稱為質能關係,與質量m相聯繫的是能量 。通過這個關係,將質量和能量這兩個物理量聯繫了起來,在核能利用中發揮了重要的作用。
為什麼在坐標變換中光速是一個不變數?為什麼光速是物體速度的極限?能不能打破這個極限?能不能預言光速的準確值?這些都是極有興趣的大問題,也都是難以回答的自然界的基本問題。
常見基本常數
下面列出常見基本常數:
基本常數
基本常數
基本常數
基本常數
基本常數
基本常數
基本常數
基本常數
