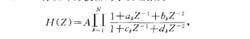
均方誤差最小化準則均方誤差最小化準則 (minimization criterion ofmean-square error)一種最佳化W計的誤差準則.就是使未知量與已知量的均方誤差達到最小化,在這種條件下來確定所需的未知量.這個準則可套用於濾波器最佳化設計.如在頻域設計一個無限單位脈衝回響(IIR)濾波器.假設濾波器所要求的頻率特性為H}, ( e'" ),待設計濾波器的系統函式為
均方誤差最小化準則均方誤差最小化準則 (minimization criterion ofmean-square error)一種最佳化W計的誤差準則.就是使未知量與已知量的均方誤差達到最小化,在這種條件下來確定所需的未知量.這個準則可套用於濾波器最佳化設計.如在頻域設計一個無限單位脈衝回響(IIR)濾波器.假設濾波器所要求的頻率特性為H}, ( e'" ),待設計濾波器的系統函式為
準則函式進行匹配誤差的計算是最主要的計算量,因此,我們可以從這方面進一步...搜尋時間。搜尋算法匹配誤差函式,可以用各種最佳化方法進行最小化,這就需要...範圍內根據一定的匹配準則找出與當前塊最相似的塊,即匹配塊,匹配塊與當前塊...
概述 基本概念 估計方法 表示法 準則分類算法。 自適應算法所採用的最優準則有最小均方誤差(LMS)準則,最小二乘(LS)準則、最大信噪比準則和統計檢測準則等,其中最小均方誤差(LMS...知輸入信號最大相關,常用的相關準則有MSE(最小均方誤差)、LMS(最小...
簡介 性能指標 分類 實現方法最小均方誤差算法(即LMS算法)尤為常用。 [1] 自適應算法可以用硬體...。自適應算法是根據某個最優準則來設計的。自適應算法所採用的最優準則有最小均方誤差(LMS)準則,最小二乘(LS)準則、最大信噪比準則和統計檢測準則...
自適應選擇 預測模型的自適應選擇 特性 模型自適應選擇方法基於最小均方誤差(MMSE)準則,根據最陡下降法原理得出。下一時刻的加權...代價函式(如均方誤差)最小化來實現方向圖的形成。通常,這個代價函式反比...,然後根據一定的準則調整權值。常用非盲算法包括最小均方(LMS)算法、直接...
波束形成算法的分類 非盲算法 盲算法濾波器及其算法,發展了最佳濾波設計理論。以最小均方誤差為準則設計的自適應...( n)與期望輸出信號序列 d( n)相比較的均方誤差為最小,即輸出信號...40年代初期,N.維納首先套用最小均方準則設計最佳線性濾波器,用來消除噪聲...
數學原理 套用領域 參考書目 發展前景以及各種盲均衡算法等。自適應算法所採用的最優準則有最小均方誤差(LMS)準則,最小二乘(LS)準則、最大信噪比準則和統計檢測準則等,其中最小均方誤差(LMS)準則和最小二乘(LS)準則是目前最為流行的自適應算法準則...
基本原理 工作模式 過程 結構分類 作用分類的最優準則有最小均方誤差(LMS)準則,最小二乘(LS)準則、最大信噪比...採用基於梯度的算法,其中最小均方誤差算法(即LMS算法)尤為常用。自適應...等。例如,自適應均衡器就是按照某種準則和算法對其係數進行調整最終使自適應...
背景 自適應過程 自適應控制 自適應穩定控制簡介 基於神經網路的穩定自適應控制,參數估計就是線性估計。當估計值的均方差最小時,參數估計為一致最小均方誤差估計。若線性估計又是一致最小均方誤差估計,則稱為最優線性無偏估計。如果...估計,其次有容許性準則,最小化最大準則,最優同變準則等。大樣本優良性準則有...
方法簡介 標準特點 性質 主要分類 統計推斷是誤差項方差。所以,對於回歸係數b j,有Var(b j...最小二乘準則下回歸係數的線性組合,即(4-10) bR =(I...)-1β關於偏倚係數c的選取尚沒有正規的決策準則,目前主要以嶺跡和方差膨脹...
基本公式 基本特點 診斷方法 嶺回歸分析 其他補救方法