釋義
地表面熱量平衡是指地表面向大氣空間支出熱量和從空間獲取熱量相平衡的情況,實際為入射到地表面的太陽淨輻射能在地表面的轉換和再分配過程。淨輻射能量一部分通過地面與空氣的感熱和潛熱輸送與大氣進行熱量交換,另一部分通過土壤熱傳導方式與土壤進行熱量交換。再有少部分進入植物體中用於光合作用的消耗。太陽淨輻射的這一分配過程可用下述熱量平衡方程表示:
Rn=H+LE+F+P
式中Rn為淨輻射,H為感熱通量,LE為潛熱通量,F為土壤熱通量,P為光合作用消耗量。
感熱通量
感熱通量指地表與大氣間的湍流熱通量,由地面與大氣之間的溫差造成的。地表與大氣之間感熱輸送的特點為:
1)無論是陸面或洋面,感熱交換結果是由地表面向大氣輸送能量,在大陸上感熱輸送平均由高緯向低緯增加,乾旱和潮濕地區差異很大,最大值出現在熱帶的沙漠地區。
2)感熱輸送隨氣侯濕潤程度的增加而減小。
3)洋面上最大的感熱輸送發生在北半球的大洋的西部和北部海區。在赤道附近較小。
4)我國年平均感熱通量分布呈北高南低分布。塔里木盆地和內蒙古高原為高值區,這裡乾旱、少雲、多日照。低值區出現在四川、貴州一帶。
潛熱通量
潛熱通量指地表蒸發時液態水氣化所吸收的熱量,它通過在大氣中凝結液態水而向大氣釋放熱量。地面與大氣之間的潛熱輸送的特點為:
1)在海陸分界處,洋面和陸面的潛熱輸送相差很大。這是由於大陸和海洋上淨輻射的不同引起的蒸發力不同;大陸上由於地表水分的限制,制約了潛熱的輸送。
2)大陸表面的潛熱輸送具有明顯的非帶狀分布特徵。在充分濕潤地區,潛熱輸送隨淨輻射自高緯向赤道增大而增大;在乾旱地區,潛熱輸送隨乾旱程度的增加而減少。
3)大洋上潛熱輸送年總量的分布與洋面淨輻射的分布基本相似。隨緯度上升而下降,暖流所經處使潛熱明顯加大,而冷洋流作用的地區,潛熱輸送偏低。使潛熱輸送的帶狀分布特徵遭到破壞。
4)我國年平均潛熱輸送通量等值線基本呈緯向分布,由南向北遞減。這是因為南方較北方潮濕,且溫度較北方高;低值中心在塔里木盆地。
土壤熱通量
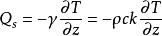
土壤熱通量指地表土壤與下層土壤間熱傳導的熱量通量。
其計算公式為:
地表熱量平衡式中γ為土壤導熱率,c為土壤比熱,k為土壤導溫率。
全球熱量平衡
1、地氣系統熱量徑向輸送的特點為:
(1)兩半球30º之間的輻射過剩,中高緯地區輻射不足,低緯地區的過剩與中高緯地區的不足相抵,整個地區保持輻射平衡狀態。
(2)低緯地區的過剩與中高緯地區的輻射不足將使赤道與極地間的梯度加大,產生具有某些能量調節機制,從低緯向高緯進行能量的水平輸送。
(3)在緯度30º~40º之間的能量輸送最大,從低緯度向高緯度輸送的所有能量都必須經過這裡。因此在中緯度地區平均說來,風速最大,出現劇烈的天氣系統。
(4)地緯向高緯總能量輸送包括三部分:潛熱輸送、海洋輸送和大氣輸送(感熱)。
2、南北半球熱量徑向輸送的差異為:
(1)通過中緯度和熱帶地區的潛熱輸送,南半球比北半球大。
(2)通過熱帶和副熱帶的海洋輸送,北半球比南半球大得多。
(3)由於南半球Hadley環流比北半球更為強大,使得通過熱帶的大氣輸送在南半球遠大於北半球。
(4)主要由大型渦旋通過中緯度的大氣輸送,在南半球較弱,南半球能量輸送更多的是以潛熱輸送的形式進行。
(5)南半球的淨輻射略有盈餘,輻射盈餘對赤道以北的影響主要表現在海洋上,跨越赤道向北輸送的巨大的潛熱量主要由反向流動的大氣輸送來實現。

