產生原理
地轉風是指自由大氣中空氣的水平等速直線運動,是指無加速度、慣性離心力不起作用 情況下的運動。在這種運動中,只有水平氣壓梯度力和地轉偏向力起作用。地轉風是自由大氣中水平氣壓梯度力和地轉偏向力相平衡時的空氣的水平運動。
地轉風是平衡運動,它受到的合外力等於零,沒有加速度。空氣運動平行於等壓線,人背風而立,高壓在右,低壓在左。這就是北半球地轉風的規則。平時人們說水往低處流,那么空氣也應該從高壓向低壓流動了,但實際上卻是平行於等壓線流動的,這是地轉偏向力影響的結果。因為,當有了氣壓梯度之後,空氣要從高壓向低壓流,一但有運動,就會受地轉偏向力的作用,使運動方向向右偏(北半球),隨著運動方向的改變,偏向力的方向也改變,因為偏向力的方向永遠垂直於運動方向所指的右方。
分布規律
風地轉風和氣壓場分布的這種規律,是C.H.D.白貝羅於1857年首先提出的,故稱白貝羅定律。地轉風的大小與水平氣壓梯度(或等壓面上的重力位勢梯度,即等壓面坡度)的數值成正比,與科里奧利參數及空氣密度成反比。在離地面約1.5千米以上的自由大氣中,大尺度運動的鉛直速度比水平速度小得多,而且水平運動的慣性力和湍流摩擦力也比水平氣壓梯度力和科里奧利力小得多,因此,自由大氣中的大尺度運動,除了具有準水平運動的性質外,還近似地滿足地轉風關係,故又稱為準地轉運動。
在大尺度自由大氣中(不考慮摩擦力的作用),空氣質點所受的水平氣壓梯度力 (G)和水平地轉偏向力(A)達到平衡時的勻速直線平衡運動,G=A。地轉風的表達式:Vg=-(9.8/f)×(H/n)式中f=2ωSinφ是地轉參數,-(H/n)為高度梯度 (相當於氣壓梯度)。地轉風方向平行於等壓線,在北半球,背地轉風而立,高壓在右,低壓在左,南半球則相反,地轉風速度大小與水平氣壓梯度成正比,即等壓線越密(疏)地轉風風速越大(小)。地轉風風速還與地球緯度成反比。
在中高緯地區,高空的實際風十分接近地轉風,風壓關係大體遵循上述地轉風原理,這是中高緯地區在分析天氣和預報天氣中應遵循的原則。
在大氣中水平方向的氣壓梯度力與地球自轉所引起的科里奧利力平衡時的風。由於水平氣壓梯度力的方向垂直於等壓線且由高壓指向低壓,而科里奧利力的方向垂直於風,因此兩者平衡形成的地轉風的方向平行於等壓線(或等重力位勢線)。在北半球,若背風而立,高氣壓(或高重力位勢)在右側,低氣壓(或低重力位勢)在左側,在南半球則相反。
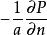
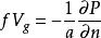
自然坐標系下,大尺度運動中,地轉風的表達式為:
地轉風註:
地轉風則是 水平氣壓梯度力。
地轉風
地轉風為地轉渦度,又叫地轉參數,ωsinφ ,ω為角速度,φ為緯度。
P為氣壓。
n是自然坐標系下 的 法線方向。
地轉風是水平氣壓在 法線方向上的變化率
地轉風
地轉風從概念和計算表達式來看,地轉風可以看做是 “大氣大尺度運動中,曲率半徑無窮大的時候,慣性離心力,水平氣壓梯度力 和 水平科氏力(水平科里奧利力)相平衡” 的一種風。而梯度風 是水平科氏力、水平氣壓梯度力 和 慣性離心力三力平衡的結果。 所以,地轉風可以看做是特殊的梯度風。

