簡介
隨著可持續理論的發展,水資源可更新能力研究成為當前水資源研究領域又一個新的熱點。然而,目前關於“水資源可更新能力”尚無一個統一的概念,並且研究對象多偏重於地表水資源方面。
沈珍瑤、劉昌明等在研究水資源的天然可再生能力與其可更新速率之間的關係時,將水資源可再生能力定義為水資源通過天然作用或人工經營能為人類反覆利用的能力。
關於地下水循環方面,“可再生”和“可更新”是有區別的(據蘇小四講話整理)。
“可再生”(Reporoducible)和“可更新”(Renewable,可更新能力renewable Capability)這兩個詞有著根本的區別。國際上沒有“可再生”這一說法。都叫“可更新”。“可再生”是從水質工程上引申而來的。一般指原來的水質不好,經處理後變好後可以再次利用的。從973開始就一直爭論這個問題。至今也沒有任何人給出確切的答案。
從目前大多數人的看法講,二者是一致的。但細緻看來,是存在差異的。
“可更新”更多關注地下水的特點,含水層的調蓄特點,側重在水量和天然條件。而“可再生”更多地是從用途上來說的,即側重於水質方面,強調可再生技術、工程,體現人類活動的影響。
由於地下水不斷地參與自然界的水循環,與外界發生著水量交換,因而地下水處於一種不斷更新的狀態。地下水可更新能力的評價是地下水資源評價的重要基礎,也是制定地下水合理開發利用模式的一個重要依據。但是,由於水循環條件的差異,使得不同地下水系統中的地下水具有不同的更新能力。
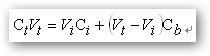
“單位時間內”“地下水系統中”“補給水體積”與“地下水系統總儲存水體”之“比”,即地下水的“可更新速率”(R),它是表征地下水更新能力的一個重要指標。在假設地下水系統處於補、排平衡的條件下,根據質量守衡原理,系統中環境同位素存在如下的質量平衡關係:
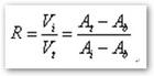
地下水更新速率的定義式:
式中:Ai-地下水同位素輸入濃度;At-補給後地下水中同位素濃度;Ab-補給前地下水中同位素濃度;Vi-地下水補給量;Vt-地下水總儲存量。用於研究和確定地下水循環模式和年齡的方法較多,目前使用的主要方法有地下水動力學法、水化學動力學法以及利用同位素標誌性和記時性特性的同位素水文地質學方法。
