土的壓縮性
土的壓縮性是指土在壓力作用下體積縮小的特性。
引起原因
土的壓縮主要是由於孔隙體積減少而引起的。
土的壓縮量的組成:(1)固體顆粒的壓縮(2)土中水的壓縮(3)空氣的排出(4)水的排出
其中固體顆粒的壓縮和土中水的壓縮只占總壓縮量的400分之一不到,可以忽略不計。空氣的排出和水的排出是壓縮量的主要組成部分。
飽和土是由固體顆粒和水組成,在工程上一般的壓力(100~600kPa)作用下,固體顆粒和水本身的體積壓縮量非常微小,可不予考慮。但由於土中水具有流動性,在外力作用下會沿著土中孔隙排出,從而引起土體積減少而發生壓縮。
土的固結
粘性土的壓縮會隨時間而增長,這個隨時間而增長的過程就稱為土的固結。
粘性土與非粘性土的區別:
非粘性土透水性好,水易於排出,所以壓縮穩定很快就可以完成。
粘性土透水性差,水不易排出,所以壓縮穩定需要很長一段時間完成。
土的壓縮曲線
根據固結試驗的結果可繪製壓力p與相應的穩定孔隙比e的關係曲線(如圖所示),稱為土的壓縮曲線。
壓縮曲線可以按兩種方式繪製,一種是按普通直角坐標繪製的e~p曲線;另一種是用半對數直角坐標繪製的e~lgp曲線。
壓縮曲線同一種土的孔隙比並不是固定不變的,所謂的穩定也只是指附加應力完全轉化為有效應力而言的。
壓縮性不同的土,曲線形狀不同,曲線愈陡,說明在相同壓力增量作用下,土的孔隙比減少得愈顯著,土的壓縮性愈高。
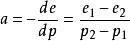
壓縮係數
土的壓縮係數為土體在側限條件下孔隙比減少量與豎向壓應力增量的比值。
利用單位壓力增量所引起得孔隙比改變表征土的壓縮性高低。
土的壓縮係數公式為:
土體積壓縮係數
壓縮係數壓縮係數與土所受的荷載大小有關。可用p1=100kPa、 p2=200kPa對應的壓縮係數評價土的壓縮性。當壓縮係數a<0.1MPa 時為低壓縮土,0.1MPa ≤a<0.5MPa 時為中壓縮土,a≥0.5MPa 時為高壓縮土。
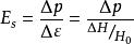
壓縮模量
土在完全側限條件下豎向應力增量Δp與相應的應變增量Δε的比值,稱為側限壓縮模量,簡稱壓縮模量,用E表示。
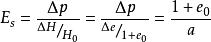
土體積壓縮係數無側向變形,即橫截面積不變,根據土粒所占高度不變的條件,ΔH可用相應的Δe=e-e孔隙比的變化來表示:
土體積壓縮係數
土體積壓縮係數
土體積壓縮係數從上式可以看出,壓縮模量E也不是常數,而是隨著壓力大小而變化。土的壓縮模量E與土的的壓縮係數a成反比,壓縮模量E愈大,壓縮係數a愈小,土的壓縮性愈低。
土的壓縮模量是評價土的壓縮性和計算地基變形的重要指標,具有重要的工程研究價值。
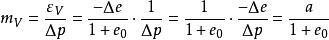
體積壓縮係數
土的體應變ε與豎向應力增量Δp的比值,稱為體積壓縮係數,用m表示。
土體積壓縮係數m與a的單位相同,a表示單位壓應力變化引起的孔隙比變化,m表示單位壓應力變化引起的單位體積變化。
土體積壓縮係數此外,由 可以看出,體積壓縮係數與壓縮模量成倒數關係。

