名稱
中文名稱:
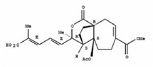
土槿皮土槿皮乙酸CAS號:
82508-31-4
相關性質
分子式:C23H28O8
分子量:432.46
毒性:試驗1 試驗方法:口服攝入劑量: 130毫克/千克測試對象:齧齒動物-鼠毒性類型:急性毒性作用: 1.食物攝入量(動物)減少2.腹瀉試驗2 試驗方法:腹腔攝入劑量: 316毫克/千克測試對象:齧齒動物-鼠毒性類型:急性
結構式:
具有顯著的抗腫瘤新生血管形成的作用,抗腫瘤作用,抗生育作用,抗血管生成作用,抗真菌作用,土槿皮乙酸可激活過氧化物酶增殖物激活受體。
