簡介
土方量計算包括填、挖士方量的總和。土方量計算方法是:以相鄰兩個橫斷面之間距為計算單位,即分別求出相鄰兩個橫斷面上路基的面積和兩橫斷面之間的距離。
一般計算
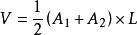
土方量計算在如圖中,A和A為相鄰的橫斷面上路基的面積,L為A和A之間
的距離,則二橫斷面間的土方量可近似地計算為:
土方量計算式中A和A可在路基橫斷面設計圖上用求積儀或解析法等方法求得,L可從里程樁間距求得。
士方量計算的作用
土方量的計算是工程施工的一個重要步驟。工程設計階段必須對士石方量進行預算,它直接關係到工程的費用概算及方案選優。在現實中,一些工程項目由土方量計算的精確性而產生的糾紛也是比較常見的。如何利用測量單位現場實測出的地形數據或原有的數字地形數據,快速準確的計算出土方量就成了人們日益關心的問題,比較常用的土方量計算方法有:方格網法、斷面法、DTM法、和平均高程法(散點法)、等高線法等。
計算方法
在對土方量進行計算時,要考慮到地形特徵、精度要求以及施工成本等方面的情況,選擇合適的計算方法,達到最優的目的。
在較為平坦的平原區和地形起伏不大的場地,宜採用方格網法。這種方法的優點是:計算的數據量小,計算速度快,省卻了DTM法龐大的數據存儲量。
在狹長地帶,比如公路、渠道、溝道等,則適宜使用斷面法進行計算士方量。
在地形起伏較大、精度要求高的一些山區,則需要用到DTM的計算方法。但是也要考慮到圖件本身數據量和數據儲存等問題。
在精度要求不高、地形簡單的區域可選擇平均高程法。
計算應具備條件
土方量計算必須有,缺少這兩個條件就缺乏土方量計算的依據。所以在土方施工前必須對原始地形進行測繪,根據土方量計算精度和地形條件確定測圖比例尺,測圖比例尺在1 : 500~1 : 2000之間。特別是在設計變更中,一定要標明原始地形高程、原設計高程和變更設計高程。

