簡介
圓形音圈電機能夠直接產生直線運動,在驅動系統中不需要皮帶、齒輪等中間傳動機構,大大降低了能量損耗,節約了成本,並極大地提高了系統的回響速度和控制精度 。然而業界對音圈電機的詳細設計步驟介紹的卻不是太多,並且在進行音圈電機的磁路設計時,設計人員的經驗是一重要因素。另外,雖然永磁材料發展速度很快,性能越來越高而且價格逐步降低,但是在永磁電機的造價中,永磁材料仍然占有很大的比重。通過合理設計音圈電機的磁路結構,使用較少的永磁材料,在電機工作氣隙中產生滿足要求的磁通密度就顯得很有必要 。
音圈電機結構
永磁勵磁音圈電機結構
根據運動部件的不同,音圈電機可分為動鐵式和動圈式結構;根據音圈電機內線圈的長短可分為長音圈型和短音圈型;根據永磁體的不同位置可分為外磁式結構和內磁式結構;根據運動方式的不同,音圈電機可分為直線型和擺動型兩類。根據其外形又可分為:圓柱形、扁平形、圓形(含弧形)、扁平形等不同種類 。
(1)動圈式和動鐵式結構
按照音圈電機中運動的是音圈還是鐵磁系統,可將音圈電機分為動圈式和動鐵式兩種類型。
在動圈式結構中,可以將鐵磁系統做的大一些,以便產生所需要的氣隙磁通密度。音圈是運動部件,在電力系統中容易出現故障,並且工作時產生的熱量不容易消散,所以在音圈中的電流不能太大。其優點運動部分質量小,慣性也小,動態回響好。
動鐵式結構中,由於鐵磁系統在運動,所以對永磁體的體積、重量都有要求。在設計時需要一個較長的固定的線圈,結構比較複雜,且運動部分重量大,慣性也大,故其動態回響沒有動圈式好。其優點是散熱容易,線圈中可以通較大的電流,行程也可以做的很長。
(2)長音圈和短音圈結構
音圈電機按照其工作氣隙與音圈長度的大小關係,可分為長音圈結構VCM和短音圈結構VCM。
圖 2-1 長音圈與短音圈 VCM 基本工作原理圖長音圈結構VCM的音圈長度≥工作氣隙長度+最大行程長度,其優點是永磁體體積較小,能夠充分利用永磁體產生的氣隙磁通密度,節省了成本。缺點是線圈較長,只有少部分工作在氣息中造成電能浪費,導磁板端部漏磁較多。其基本工作原理圖如圖2-1(a)所示:
短音圈結構VCM的音圈長度+最大行程長度≤工作氣隙長度,其優點是線圈長度較短且全部都工作在氣隙中,電能利用率高,功耗容易控制。相比於長音圈結構VCM,其導磁板較大。其基本工作原理圖如圖2-1(b)所示:
(3)外磁式結構和內磁式結構
圖 2-2 外磁式和內磁式 VCM 結構示意圖永磁音圈電機按照永磁體的位置可以分為外磁式VCM和內磁式VCM。外磁式結構:當永磁體在工作氣隙外部的時候為外磁式結構。為了減少磁體內部損耗,一般將高矯頑力的永磁材料做成面積大而厚度小的環形磁體,這樣能大大提高磁能的利用。對於需要在音圈電機中間穿孔的場合,適宜採用這種結構。其結構示意圖如圖2-2(a)所示。
圖 2-3 音圈電機實物照片內磁式結構:當永磁體在工作氣隙內緣時為內磁式結構。其優點是磁路較短,能充分利用永磁體的磁力線,漏磁通量比較小。其結構示意圖如圖2-2(b)所示 。
(4)其他結構類型
音圈電機還有很多分類方式,根據運動方式的不同,可分為直線型和擺動型兩類,如在硬碟中驅動磁頭擺動的就是擺動型音圈電機。根據音圈電機的外形結構又可分為:圓柱形、扁平形、圓形(含弧形)、扁平形,如圖2-3所示。
圓柱形音圈電機數學模型
為了明確影響音圈電機性能的因素, 需要建立音圈電機在工作時的數學模型,才能對音圈電機深入認識,並針對影響其性能的相關因素進行最佳化 。
由音圈電機的工作原理可知在其工作時,線圈上產生的電磁力為:
圓柱形音圈電機式中: B 為 VCM 工作氣隙的磁感應強度 (T) ,l 為音圈每匝在氣隙中的有效長度 (m),i為線圈內電流的大小(A) ,N 為線圈匝數,k=BlN。
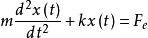
為了使線圈運動,電磁力 F應大於最大靜摩擦力與負載阻力之和。其動力學模型如圖 2-6 所示,由圖可以得到音圈電機工作時的動力平衡方程:
圖 2-7 電路結構示意圖
圓柱形音圈電機式中:F為電機產生的電磁力,F為負載阻力,F為滑動摩擦力,m 為運動部件的質量,a 為運動部件的加速度。
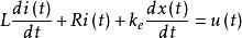
由音圈電機的工作原理,可以畫出音圈電機工作時的電路結構示意圖 2-7:
音圈電機工作時的電壓平衡方程為:
圓柱形音圈電機
圖 2-8 音圈電機動態模型結構圖式中:u為音圈電機工作時的電壓,L為電路的電感,i為電路中的電流,R為電流迴路的電阻,B為音圈所在氣隙的磁感應強度,e為音圈在磁場中的運動時產生的反電動勢,其方向總是與電流方向相反。
e的大小可以推知為:
圓柱形音圈電機式中,v為音圈在磁場中的運動速度。
加速度a,速度v以及位移x之間的關係為:
圓柱形音圈電機
圓柱形音圈電機為了研究影響音圈電機工作性能的主要因素,可以忽略空氣阻尼和摩擦力,可以分別得到動力平衡方程:
圓柱形音圈電機式中:c為阻尼係數,k為彈簧的勁度係數。
電壓平衡方程
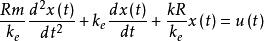
圓柱形音圈電機將上兩式的中間變數F、i(t)、e消去,可以得到電壓為輸入量,位移為輸出量的系統微分方程:
圓柱形音圈電機
圓柱形音圈電機
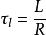
圓柱形音圈電機可以畫出音圈電機的動態模型結構圖如圖2-8所示。圖中k=BlN,是線圈的電磁時間常數,。
在實際運行中,電感非常小,並且音圈電機驅動熄火拉線時是低頻運動,可以忽略電感的影響,則音圈電機的電壓—位移的數學模型變為:
圓柱形音圈電機對上式進行拉普拉斯變換,可以得到系統傳遞函式:
圓柱形音圈電機音圈電機驅動系統是一個二階系統,機電時間常數為:
圓柱形音圈電機T是一個重要參數, 它的大小會影響到音圈電機的回響速度。 通過分析知道,提高氣隙磁通密度B,減少運動部件的質量可以減少機電時間常數T,提高系統回響速度 。

