圓的定義
第一定義
在同一平面內到定點的距離等於定長的點的 集合叫做 圓(circle)。這個定點叫做圓的 圓心。
圓形一周的長度,就是圓的 周長。能夠重合的兩個圓叫 等圓,等圓有無數條對稱軸。
圓是一個正n邊形(n為無限大的正整數),邊長無限接近0但永遠無法等於0。
第二定義
平面內一動點到兩定點的距離之比(或距離的平方之比),等於一個不為1的常數,則此動點的軌跡是圓。
證明:點坐標為(x,y)與(x,y),動點為(x,y),距離比為k,由兩點距離公式。滿足方程(x-x)+ (y-y)= k×[ (x-x)+ (y-y)] 當k不為1時,整理得到一個圓的方程。
幾何法:假設定點為A,B,動點為P,滿足|PA|/|PB| = k(k≠1),過P點作角APB的內、外角平分線,交AB與AB的延長線於C,D兩點由角平分線性質,角CPD=90°。由角平分線定理:PA/PB = AC/BC = AD/BD =k,注意到唯一k確定了C和D的位置,C線上段AB內,D在AB延長線上,對於所有的P,P在以CD為直徑的圓上。
相關特點
徑
1.連線圓心和圓上的任意一點的線段叫做 半徑,字母表示為r(radius)
2.通過圓心並且兩端都在圓上的線段叫做 直 徑,字母表示為d(diameter)。直徑所在的直線是圓的對稱軸。
圓的直徑 d=2r
弦
1.連線圓上任意兩點的線段叫做 弦(chord).在同一個圓內最長的弦是直徑。直徑所在的直線是圓的對稱軸,因此,圓的對稱軸有無數條。
弧
1.圓上任意兩點間的部分叫做圓弧,簡稱弧(arc)以“⌒”表示。
2.大於半圓的弧稱為優弧,小於半圓的弧稱為劣弧,所以半圓既不是優弧,也不是劣弧。優弧一般用三個字母表示,劣弧一般用兩個字母表示。優弧是所對圓心角大於180度的弧,劣弧是所對圓心角小於180度的弧。
3.在同圓或等圓中,能夠互相重合的兩條弧叫做 等弧。
角
1.頂點在圓心上的角叫做 圓心角(central angle)。
2. 頂點在圓周上,且它的兩邊分別與圓有另一個交點的角叫做 圓周角。圓周角等於相同弧所對的圓心角的一半。
圓周率
圓[一種幾何圖形]圓周長度與圓的直徑長度的比值叫做 圓周率。它是一個無限不循環小數,通常用字母 表示,
圓[一種幾何圖形]≈3.141592657......計算時通常取近似值3.14。我們可以說圓的周長是直徑的π倍,或大約3.14倍,不能直接說圓的周長是直徑的3.14倍。
形
1.由弦和它所對的一段弧圍成的圖形叫做 弓形。
2. 由圓心角的兩條半徑和圓心角所對應的一段弧圍成的圖形叫做 扇形(sector)。
表示方式
圓—⊙ ;半徑—r或R(在環形圓中外環半徑表示的字母);圓心—O;弧—⌒;直徑—d ;
扇形弧長—L ; 周長—C ; 面積—S。
計算公式
圓的周長公式
圓[一種幾何圖形]圓的周長: 圓周長的一半 c=πr
半圓的周長 c=πr+2r
圓的周長公式推導(此方面涉及到弧微分)
圓[一種幾何圖形]
圓[一種幾何圖形]設圓的參數方程為,
圓在一周內周長的積分
圓[一種幾何圖形]代入,可得
圓[一種幾何圖形]
圓[一種幾何圖形]
圓[一種幾何圖形]
圓[一種幾何圖形]即
圓的面積公式
圓[一種幾何圖形]
圓[一種幾何圖形]
圓[一種幾何圖形]
圓[一種幾何圖形]圓的面積計算公式: 或 或 圓的面積求直徑:
把圓分成若干等份,可以拼成一個近似的長方形。長方形的寬相當於圓的半徑。
圓[一種幾何圖形]圓錐側面積 (l為母線長)
弧長角度公式
扇形弧長L=圓心角(弧度制)×R= nπR/180(θ為圓心角)(R為扇形半徑)
扇形面積S=nπ R²/360=LR/2(L為扇形的弧長)
圓錐底面半徑 r=nR/360(r為底面半徑)(n為圓心角)
扇形面積公式
R是扇形半徑,n是弧所對圓心角度數,π是圓周率,L是扇形對應的弧長。
也可以用扇形所在圓的面積除以360再乘以扇形圓心角的角度n,如下:
(L為弧長,R為扇形半徑)
推導過程:S=πr²×L/2πr=LR/2
(L=│α│·R)
位置關係
點和圓位置關係
①P在圓O外,則 PO>r。
②P在圓O上,則 PO=r。
③P在圓O內,則 PO<r。
反之亦然。
平面內,點P(x,y)與圓(x-a)²+(y-b)²=r²的位置關係判斷一般方法是:
①如果(x-a)²+(y-b)²<r²,則P在圓內。
②如果(x-a)²+(y-b)²=r²,則P在圓上。
③如果(x-a)²+(y-b)²>r²,則P在圓外。
直線和圓位置關係
①直線和圓無公共點,稱相離。 AB與圓O相離,d>r。
②直線和圓有兩個公共點,稱相交,這條直線叫做圓的 割線。AB與⊙O相交,d<r。
③直線和圓有且只有一公共點,稱相切,這條直線叫做圓的 切線,這個唯一的公共點叫做 切點。圓心與切點的連線垂直於切線。AB與⊙O相切,d=r。(d為圓心到直線的距離)
平面內,直線Ax+By+C=0與圓x²+y²+Dx+Ey+F=0的位置關係判斷一般方法是:
1.由Ax+By+C=0,可得y=(-C-Ax)/B,(其中B不等於0),代入x²+y²+Dx+Ey+F=0,即成為一個關於x的方程
如果b-4ac>0,則圓與直線有2個公共點,即圓與直線相交。
如果b-4ac=0,則圓與直線有1個公共點,即圓與直線相切。
如果b-4ac<0,則圓與直線有無公共點,即圓與直線相離。
2.如果B=0即直線為Ax+C=0,即x=-C/A,它平行於y軸(或垂直於x軸),將x²+y²+Dx+Ey+F=0化為(x-a)²+(y-b)²=r²,令y=b,求出此時的兩個x值x、x,並且規定x<x,那么:
當x=-C/A<x或x=-C/A>x時,直線與圓相離;
當x<x=-C/A<x時,直線與圓相交。
圓和圓位置關係
①無公共點,一圓在另一圓之外叫外離,在之內叫內含。
②有唯一公共點的,一圓在另一圓之外叫外切,在之內叫內切。
③有兩個公共點的叫相交。兩圓圓心之間的距離叫做圓心距。
設兩圓的半徑分別為R和r,且R〉r,圓心距為P,則結論:外離P>R+r;外切P=R+r;內含P<R-r;
內切P=R-r;相交R-r<P<R+r。
圓的性質
⑴圓是軸對稱圖形,其對稱軸是任意一條通過圓心的直線。圓也是中心對稱圖形,其對稱中心是圓心。
垂徑定理:垂直於弦的直徑平分這條弦,並且平分弦所對的2條弧。
垂徑定理的逆定理:平分弦(不是直徑)的直徑垂直於弦,並且平分弦所對的2條弧。
⑵有關圓周角和圓心角的性質和定理
① 在同圓或等圓中,如果兩個圓心角,兩個圓周角,兩組弧,兩條弦,兩條弦心距中有一組量相等,那么他們所對應的其餘各組量都分別相等。
②在同圓或等圓中,相等的弧所對的圓周角等於它所對的圓心角的一半(圓周角與圓心角在弦的同側)。
直徑所對的圓周角是直角。90度的圓周角所對的弦是直徑。
圓心角計算公式: θ=(L/2πr)×360°=180°L/πr=L/r(弧度)。
即圓心角的度數等於它所對的弧的度數;圓周角的度數等於它所對的弧的度數的一半。
③ 如果一條弧的長是另一條弧的2倍,那么其所對的圓周角和圓心角是另一條弧的2倍。
⑶有關外接圓和內切圓的性質和定理
①一個三角形有唯一確定的外接圓和內切圓。外接圓圓心是三角形各邊垂直平分線的交點,到三角形三個頂點距離相等;
②內切圓的圓心是三角形各內角平分線的交點,到三角形三邊距離相等。
③R=2S△÷L(R:內切圓半徑,S:三角形面積,L:三角形周長)。
④兩相切圓的連心線過切點。(連心線:兩個圓心相連的直線)
⑤圓O中的弦PQ的中點M,過點M任作兩弦AB,CD,弦AC與BD分別交PQ於X,Y,則M為XY之中點。
(4)如果兩圓相交,那么連線兩圓圓心的線段(直線也可)垂直平分公共弦。
(5)弦切角的度數等於它所夾的弧的度數的一半。
(6)圓內角的度數等於這個角所對的弧的度數之和的一半。
(7)圓外角的度數等於這個角所截兩段弧的度數之差的一半。
(8)周長相等,圓面積比正方形、長方形、三角形的面積大。
相關定理
切線定理
圓[一種幾何圖形]垂直於過切點的半徑;經過半徑的外端點,並且垂直於這條半徑的直線,是這個圓的切線。
切線的判定方法:經過半徑外端並且垂直於這條半徑的直線是圓的切線。
切線的性質:
(1)經過切點垂直於過切點的半徑的直線是圓的切線。
(2)經過切點垂直於切線的直線必經過圓心。
(3)圓的切線垂直於經過切點的半徑。
切線長定理
從圓外一點到圓的兩條切線的長相等,那點與圓心的連線平分切線的夾角。
以下簡述切線長定理的證明。
欲證AC =AB,只需證△ABO≌ △ACO。
設OC、OB為圓的兩條半徑,又∠ABO = ∠ACO=90°
在Rt△ABO和Rt△ACO中
∴Rt△ABO ≌ Rt△ACO(H.L)
∴AB=AC,且∠AOB=∠AOC,且∠OAB=∠OAC。
切割線定理
切割線定理的證明:
圓的一條切線與一條割線相交於p點,切線交圓於C點,割線交圓於A B兩點 , 則有pC^2=pA·pB
設ABP是⊙O的一條割線,PT是⊙O的一條切線,切點為T,則PT²=PA·PB
證明:連線AT, BT
∵∠PTB=∠PAT(弦切角定理)
∠APT=∠TPB(公共角)
∴△PBT∽△PTA(兩角對應相等,兩三角形相似)
則PB:PT=PT:AP
即:PT²=PB·PA
割線定理
割線定理:從圓外一點引圓的兩條割線,這一點到每條割線與圓交點的距離的積相等。
一條直線與一條弧線有兩個公共點,我們就說這條直線是這條曲線的割線。
與割線有關的定理有:割線定理、切割線定理。常運用於有關於圓的題中。
與切割線定理相似:兩條割線交於p點,割線m交圓於A1 B1兩點,割線n交圓於A2 B2兩點,則pA1·pB1=pA2·pB2。
如圖直線ABP和CDP是自點P引的⊙O的兩條割線,求證:PA·PB=PC·PD
圓[一種幾何圖形]證明:連線AD、BC∵∠A和
∠C都對弧BD
∴由圓周角定理,得 ∠DAP=∠BCP
又∵∠P=∠P
∴△ADP∽△CBP
(如果一個三角形的兩個角與另一個三角形的兩個角對應相等,那么這兩個三角形相似。)
∴AP:CP=DP:BP
即AP·BP=CP·DP
垂徑定理
垂直於弦的直徑平分這條弦,並且平分這條弦所對的兩條弧。
設在⊙O中,DC為直徑, AB是弦,AB⊥DC於點E,AB、CD交於E,求證:AE=BE,弧AC=弧BC,弧AD= 弧BD
連線OA、OB分別交⊙O於點A、點B
∵OA、OB是⊙O的半徑
∴OA=OB
∴△OAB是等腰三角形
∵AB⊥DC
∴AE=BE,∠AOE=∠BOE(等腰三角形三線合一)
∴弧AD=弧BD,∠AOC=∠BOC
∴弧AC=弧BC
弦切角定理
弦切角等於對應的圓周角。(弦切角就是切線與弦所夾的角)
已知:直線PT切圓O於點C,BC、AC為圓O的弦。
求證:∠TCB=1/2∠BOC=∠BAC
證明:設圓心為O,連線OC,OB,。
∵∠OCB=∠OBC
∴∠OCB=1/2*(180°-∠BOC)
又∵∠BOC=2∠BAC
∴∠OCB=90°-∠BAC
∴∠BAC=90°-∠OCB
又∵∠TCB=90°-∠OCB
∴∠TCB=1/2∠BOC=∠BAC
綜上所述:∠TCB=1/2∠BOC=∠BAC
圓的方程
1、 圓的標準方程:
在平面直角坐標系中,以點O(a,b)為圓心,以r為半徑的圓的標準方程是(x-a)+(y-b)=r。
特別地,以原點為圓心,半徑為r(r>0)的圓的標準方程為x+y=r。
2、 圓的一般方程:
方程x+y+Dx+Ey+F=0可變形為(x+D/2)+(y+E/2)=(D+E-4F)/4.故有:
圓[一種幾何圖形](1)當D+E-4F>0時,方程表示以(-D/2,-E/2)為圓心,以 為半徑的圓;
(2)當D+E-4F=0時,方程表示一個點(-D/2,-E/2);
(3)當D+E-4F<0時,方程不表示任何圖形。
3、 圓的參數方程:
以點O(a,b)為圓心,以r為半徑的圓的參數方程是 x=a+r·cosθ, y=b+r·sinθ, (其中θ為參數)
圓的端點式:
若已知兩點A(a,b),B(a,b),則以線段AB為直徑的圓的方程為 (x-a)(x-a)+(y-b)(y-b)=0
圓的離心率e=0,在圓上任意一點的曲率半徑都是r。
經過圓 x+y=r上一點M(a,b)的切線方程為 a·x+b·y=r
在圓(x+y=r)外一點M(a,b)引該圓的兩條切線,且兩切點為A,B,則A,B兩點所在直線的方程也為 a·x+b·y=r。
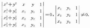
4、 圓的三點式方程:過不共線的三點A(x,y),B(x,y),C(x,y)的圓的方程為
圓的三點式方程繪製方式
一般情況下可用圓規畫出圓形,或用一段繩子,一頭固定在地上,一頭轉,就能轉出圓,繩子越長,圓越大。
用AutoCAD繪圓
在AutoCAD“繪圖”下拉選單中,列出了6種“圓”的繪製方法,簡述如下:
(1)利用圓心和半徑繪圓:用滑鼠點取繪圖命令,然後根據提示操作;
(2)利用圓心和直徑繪圓:用滑鼠點取繪圖命令,然後根據提示操作;
(3)以兩點確定直徑繪圓:用滑鼠點取繪圖命令,然後根據提示操作;
(4)以三點確定直徑繪圓:用滑鼠點取繪圖命令,然後根據提示操作;
(5)以確定半徑與兩個圖形對象相切繪圓:用滑鼠點取繪圖命令,然後根據提示操作。
richtext控制項繪圓
定義一個數組,該數組用來存儲一個或多個坐標(Point)
然後按照以下步驟來實現
1 生成一個控制項(如Label),並調整相應的屬性
2 在記憶體中建立一張臨時的圖像作為畫布,使用GDI+等各種繪圖,將圖像繪製到畫布上
3 將生成的控制項Image或BackGroundImage屬性值設定為步驟2生成的圖像
4 使用RichTextBox1.Controls.Add方法,將控制項添加進去(您可以指定它的坐標)
5 將當前已經添加的控制項的坐標記錄在數組中(如對應第1個數據)
6 添加RichTextBox1.Scroll事件代碼,在該代碼中,
圓過獲取滾動條的值來計算已添加控制項應該所在的位置
說明:控制項可以通過代碼生成(推薦)
該方法與網上流傳的QQ聊天視窗內RichTextBox方法不同,
屬於簡單型
您務必要定義一個數組,用來參與ScrollBar滾動時,將目標控制項重新定位
歷史介紹
圓形,是一個看來簡單,實際上是十分奇妙的形狀。古代人最早是從太陽、陰曆十五的月亮得到圓的概念的。在一萬八千年前的山頂洞人曾經在獸牙、礫石和石珠上鑽孔,那些孔有的就很像圓。到了陶器時代,許多陶器都是圓的。圓的陶器是將泥土放在一個轉盤上製成的。當人們開始紡線,又制出了圓形的石紡錘或陶紡錘。古代人還發現搬運圓的木頭時滾著走比較省勁。後來他們在搬運重物的時候,就把幾段圓木墊在大樹、大石頭下面滾著走,這樣當然比扛著走省勁得多。
約在6000年前,美索不達米亞人,做出了世界上第一個輪子——圓型的木盤。大約在4000多年前,人們將圓的木盤固定在木架下,這就成了最初的車子。
會作圓,但不一定就懂得圓的性質。古代埃及人就認為:圓,是神賜給人的神聖圖形。一直到兩千多年前我國的墨子(約公元前468-前376年)才給圓下了一個定義:圓,一中同長也。意思是說:圓有一個圓心,圓心到圓周的長都相等。這個定義比希臘數學家歐幾里得(約公元前330-前275年)給圓下定義要早100年。
任意一個圓的周長與它直徑的比值是一個固定的數,我們把它叫做圓周率,用字母π表示。它是一個無限不循環小數,π=3.1415926535……但在實際運用中一般只取它的近似值,即π≈3.14.如果用C表示圓的周長:C=πd或C=2πr.《周髀算經》上說"周三徑一",把圓周率看成3,但是這只是一個近似值。美索不達來亞人在作第一個輪子的時候,也只知道圓周率是3。魏晉時期的劉徽於公元263年給《九章算術》作注時,發現"周三徑一"只是圓內接正六邊形周長和直徑的比值。他創立了割圓術,認為圓內接正多連形邊數無限增加時,周長就越逼近圓周長。他算到圓內接正3072邊形的圓周率,π= 3927/1250。劉徽把極限的概念運用於解決實際的數學問題之中,這在世界數學史上也是一項重大的成就。祖沖之(公元429-500年)在前人的計算基礎上繼續推算,求出圓周率在3.1415926與3.1415927之間,是世界上最早的七位小數精確值,他還用兩個分數值來表示圓周率:22/7稱為約率,355/113稱為密率。 在歐洲,直到1000年後的十六世紀,德國人鄂圖(公元1573年)和安托尼茲才得到這個數值。如今有了電子計算機,圓周率已經算到了小數點後五萬億位小數了。
![圓[一種幾何圖形] 圓[一種幾何圖形]](/img/1/0cf/nBnauM3XyUzN3EDM0YzNzYTO1UTM1QDN5MjM5ADMwAjMwUzL2czL3QzLt92YucmbvRWdo5Cd0FmLxE2LvoDc0RHa.jpg)
