基本概念
閉塞
閉塞(Block)就是用信號或憑證,保證列車按照空間間隔制運行的技術方法。空間間隔制就是前行列車和追蹤列車之間必須保持一定距離的行車方法。
ATC系統
列車運行自動控制(ATC)系統是依靠控制列車運行速度的方式來保證列車按照空間間隔制運行的。運行列車間必須保持的空間間隔首先是滿足制動距離的需要,同時還要考慮適當的安全餘量和確認信號時間內的運行距離。列車間的追蹤運行間隔越小,運輸能力就越大。
分類
城市軌道交通系統的閉塞方式按照有無固定劃分的閉塞分區可以分為三種:固定閉塞、準移動閉塞、移動閉塞。
(1)固定閉塞:以固定的閉塞分區為單位作為追蹤列車間的安全間隔,現已不適合城市軌道交通發展的要求。
(2)準移動閉塞:閉塞分區是用軌道電路或計軸裝置來劃分的,它具有列車定位和占用軌道的檢查功能。在城市軌道交通中使用較普遍。
(3)移動閉塞:代表閉塞技術的發展方向,正在發展完善之中。在我國城市軌道交通系統中已有套用,如武漢輕軌一期、廣州捷運3號線、北京捷運10號線等。
系統介紹
固定閉塞系統是將軌道分成若干個閉塞分區,每個閉塞分區只能被一列車占用,而且閉塞分區的長度必須滿足司機確認信號和列車停車制動距離的要求。閉塞分區的長度取決於列車的最大速度、剎車曲線以及信號顯示的數目等等。在所有的固定閉塞系統中列車位置是通過它所占用的閉塞分區來確定的,因此閉塞分區的長度和數量就決定了線路的通過能力。一般地,閉塞分區的長度不得小於司機確認信號和制動停車所需要行駛的距離之和。通常情況下,在同一個閉塞分區內最多只能有一輛列車。
採用固定閉塞方式的信號系統,列車得到的信息僅為將要進入的閉塞分區的速度等級命令,列車速度控制方式採用階梯式分級制動控制曲線。
原理
基於軌道電路的固定閉塞系統採用軌道繼電器的吸起和落下來檢測軌道區段的空閒/占用(圖1 /圖2),根據列車在該軌道區段的占用與出清來點亮軌旁設定的信號機。列車將根據軌旁的信號機顯示來行車,信號機的顯示定義是帶有速度含義的,列車上的司機必須根據信號機的顯示來控制列車,在這期間,出現了三顯示和四顯示的固定閉塞系統。
圖1 軌道電路原理(空閒)
圖2 軌道電路原理(占用)特點
(1)線路被劃分為固定位置、某一長度的閉塞分區,一個分區只能被一列車占用;
(2)閉塞分區的長度按最長列車、滿負載、最高速度、最不利制動率等不利條件設計;
(3)列車間隔為若干閉塞分區,而與列車在分區內的實際位置無關;
(4)制動的起點和終點總是某一分區的邊界;
(5)要求運行間隔越短,閉塞分區(設備)數也越多,列車最小運行間隔≥120s;
(6)採用模擬軌道電路,輪軸感測器,加點式或環線傳輸,信息量少;
(7)採用階梯式速度控制模式。
列車間隔計算
城市軌道交通追蹤列車間隔時間是追蹤運行的兩列車間的最小允許間隔時間,是列車能夠按照計畫運行而不受前行列車影響的最小時間間隔。影響追蹤列車間隔時間的因素較多,如:線路條件、車站狀況、閉塞系統、列車性能、運行組織等。最小追蹤列車間隔時間可以根據理論或模擬的方法進行確定。
圖3 固定閉塞追蹤列車間隔示意圖固定閉塞系統中閉塞分區的速度等級和數量由設計行車間隔、線路數據、車輛性能、信號設備的性能等因素確定,其中閉塞分區的長度由列車制動距離和信號反應時間等因素確定。如圖3所示為間隔三個閉塞分區的追蹤列車間隔示意圖。
其追蹤列車間隔時間按下式確定:
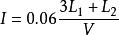
固定閉塞控制
固定閉塞控制
固定閉塞控制式中,I追為追蹤列車間隔時間,min; 為閉塞分區長度,m; 為列車長度,m;V為列車追蹤範圍內,後續列車的平均運行速度,km/h。
仿真系統算法
在固定閉塞條件下,列車取得前方各閉塞分區的限速,同時在運行的過程中以當前工況為基礎判斷是否超過限速,然後確定列車的操縱方式。固定閉塞方式下列車的運行算法如下:
(1) 取得線路平縱斷而、列車牽引力、制動力等基礎數據。
(2) 根據列車運行的基礎數據,判斷當前列車前方是否存在列車。
(3) 如存在前行列車,則根據前行列車尾部位置得到後方閉塞分區起始點的位置,以確定目標停車點以及各閉塞分區的入口速度;否則,目標停車點為當前列車的規定停站點。根據閉塞分區數目和列車分級制動速度,確定各閉塞分區的限速,即列車到達每一閉塞分區起始點時不能超過該限速,然後從各閉塞分區起始位置點反推分級制動曲線,並以該曲線作為當前列車的限速標準。
(4) 確定列車的工況。根據當前工況前推判斷下一個時間步長所應採取的新工況,如果利用新工況前推運行超過限速則利用原工況,否則利用新工況。
(5) 根據己確定的工況計算下一個時間步長的列車速度、時分和運行距離等數據並存儲。
(6) 如果列車未到終點站,轉(1) 。
(7) 計算結束。
三種方式比較
固定閉塞、準移動閉塞和移動閉塞的比較如下圖所示。
固定閉塞控制
固定閉塞控制
固定閉塞控制
