單樁的豎向極限承載力標準值的基本概念
單樁的豎向極限承載力標準值是基樁承載力的最基本參數,其他如特徵值、設計值都是根據豎向極限承載力標準值計算出來的。新舊樁基規範對單樁的豎向極限承載力標準值的定義是一致的,是指單樁在豎向荷載作用下達到破壞狀態前或出現不適合繼續承載的變形時所對應的最大荷載,它取決於對樁的支承阻力和樁身材料強度。
對單樁豎向極限承載力的影響,一方面是可以人為控制的,包括樁的類型、材料、截面尺寸、入土深度、樁端進入持力層深度、成樁後休止時間以及成樁施工方法等;另一方面由樁端、樁側土的性質決定,體現為土的極限側阻力和極限端阻力,是決定承載力的基本因素,但其發揮受一方面因素的影響。
用雙曲線法推算單樁豎向抗壓極限承載力
概述
如今規範規定單樁承載力應通過載荷試驗來確定,而規範只規定了複合地基承載力載荷試驗的確定標準 ,卻沒有規定單樁承載力載荷試驗的確定標準,使工程技術人員難以適從 。
單樁極限承載力是水泥攪拌樁複合地基設計中的重要參數,而單樁靜載試驗是確定單樁豎向極限承載力的基本方法 。但是,實際工程中的試樁往往無法達到極限或破壞荷載,比如,加壓裝置的制約 、加壓配重的限制、場地條件的不允許等 ,特別是如今很多工程的試樁試驗是在工程樁上進行 ,不允許進行破壞性試驗,這樣就不能通過試驗直接測得極限承載力 。
確定單樁豎向抗壓極限承載力的雙曲線法
雖然水泥攪拌樁的單樁靜載試驗未能達到極限狀態 ,但樁的荷載一沉降 (Q—S)曲線中包含了大量極限承載力 的信息,通過對其數據的分析處理,可以對樁的極限承載力進行外推估算。 如今國內外學者對試樁未達破壞的極限承載力預測進行了大量的研究 ,提出了多種預測方法 。如指數曲線法 、雙曲線法、拋物線法 、灰色理論法和人工神經網路法等。結合工程實際 ,本文採用雙曲線法作為預測模型,具有簡單、實用 、擬合精度高的特點 。
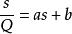
雙曲線模型是由Christow於 1967年提出的 ,假設緩變型單樁Q—s曲線符合雙曲線方程為:
單樁豎向抗壓極限承載力(1)
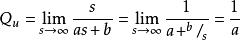
式中 :Q為荷載 ,kN;s為沉降 ,mm; a,b為待求參數。則單樁極限承載力Qu為
單樁豎向抗壓極限承載力(2)
式(1)經變換為
單樁豎向抗壓極限承載力(3)
令y=s/Q,x=s,則式(3)化為線性方程
單樁豎向抗壓極限承載力(4)
將靜載 Q—s 曲線數據按式 (3)進行轉換後,s /Q與s總體上應接近於線性關係。按最小二乘法原理,易求得參數a,b。
結語
單樁極限承載力與樁周土層的性質密切相關。由於各地區土層性質和分布千差萬別 ,單樁極限承載力的確定也表現出明顯的地域性,所以其數學模型預測也必然帶有很大的地域性 。

