成份
喜遼妥化學名稱:多磺酸粘多糖(組織性肝磷脂“Luipold”)。
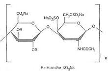
化學結構式:一個二糖單元的結構:
分子式:多磺酸粘多糖是由若干磺酸化的D-葡萄糖醛酸與N-乙醯-D-半乳糖胺組成的二糖單元連結而成。
分子量:多磺酸粘多糖的分子量在5000-15000道爾頓之間。
性狀
本品為乳劑型基質的白色軟膏,有麝香草酚的氣味。
適應症
淺表性靜脈炎,靜脈曲張性靜脈炎,
靜脈曲張外科和硬化術後的輔助治,
血腫、挫傷、腫脹和水腫,
血栓性靜脈炎,由靜脈輸液和注射引起的滲出,
抑制疤痕的形成和軟化疤痕。
規格
100g乳膏含多磺酸粘多糖 300mg
(組織性肝磷脂“Luipold”) 相當於25,000U[sup]*[/sup]
*U的判定是以部分凝血酶元時間(APTT)為參照的。
用法用量
將3-5cm的乳膏塗在患處並輕輕按摩,一日1-2次。如有需要,可在醫生指導下增加劑量。喜遼妥乳膏也適用於作為藥膏輔料。治療非常疼痛的炎症時,應把乳膏仔細的塗在患處及其周圍,並用紗布或相似的材料覆蓋。在用於軟化疤痕時,需用力按摩,使藥物充分滲入皮膚。
喜遼妥還可用於聲波和電離子滲透療法,在套用於電離子滲透療法時將乳膏塗於陰極。
不良反應
偶見局部皮膚或接觸性皮炎。
禁忌
對乳膏任何成分或肝素高度過敏者禁用。開放性傷口和破損的皮膚禁用。
注意事項
喜遼妥乳膏不能直接塗抹於破損的皮膚和開放性傷口,避免接觸眼睛或黏膜。
孕婦及哺乳期婦女用藥
由於含有對羥基苯甲酸,除非在醫學監控下,喜遼妥乳膏布推薦在孕期或哺乳期套用。
尚無多磺酸粘多糖局部套用孕期或哺乳期婦女後對胎兒或嬰兒造成危害的報導。
兒童用藥
尚未對兒童使用喜遼妥進行明確的研究,兒童用量應諮詢醫師。
老年用藥
沒有特殊注意事項。
藥物相互作用
不應與其他乳膏、軟膏或局部噴霧劑同時套用於同一部位。
藥物過量
由於藥物的套用方式,不存在藥物過量。
在偶爾口服的情況下,未見藥物過量的表現。
藥理毒理
1.藥理
多磺酸粘多糖通過作用於血液凝固和纖維蛋白溶解系統而具有抗血栓形成作用。另外,它通過抑制各種參與分解代謝的酶以及影響前列腺素和補體系統而具有抗炎作用。
多磺酸粘多糖還能通過促進間葉細胞的合成以及恢復細胞間物質保持水分的能力從而促進結締組織的再生。因此,本藥能防止淺表血栓的形成,促進它們的吸收,阻止局部炎症的發展和加速血腫的吸收。
多磺酸粘多糖促進正常結締組織的再生。
2.毒理
對不同種類的動物(小鼠、大鼠、狗)研究發現 :急性毒性反應僅見於超大劑量全身用藥後(包括口服、皮下注射、皮內注射、靜脈注射),但這些反應與多磺酸粘多糖的局部外用無任何關係。
亞急性毒性研究對狗和大鼠連續肌肉注射超過13周后發現 :在注射部位呈現與劑量相關的局部刺激,同時伴有肝、腎腫脹(起始劑量10 mg/kg)以及宮頸肥大和系膜淋巴結腫大(起始劑量15 mg/kg)。連續用藥13周后未發現有新生的贅生物形成。
體內和體外生殖毒性實驗均未顯示任何誘導機體突變的跡象。
尚無有關致癌危險性的調查。
生殖能力研究 分別給予雄鼠肌肉注射多磺酸粘多糖2 mg/kg、10 mg/kg和25 mg/kg,為期60天 ;接受肌注的雄性大鼠及其後代均未出現任何特殊的病理改變。
胚胎毒性和致畸性研究 在實驗兔妊娠6-19天期間分別予肌注多磺酸粘多糖2 mg/kg、8 mg/kg和32 mg/kg。最顯著的改變出現於高劑量組,表現為體重下降、死胎、吸收率增加和新生兔存活率下降。根據已有的數據,多磺酸粘多糖在劑量為32 mg/kg時無致畸性,但有胚胎毒性。
藥代動力學
用放射性活性物質標記後,通過化學分析和組織化學分析方法研究了多磺酸粘多糖 對動物和人類皮膚滲透性。根據所測的濃度梯度,多磺酸粘多糖能滲透入更深的皮下組織。連續給藥數天,亦未發現多磺酸粘多糖對血液系統有任何影響。
貯藏
貯存於30℃以下,但不能冷凍。
包裝
鋁管包裝,14克/支
有效期
60個月
執行標準
進口藥品註冊標準JX19990301
批准文號
進口藥品註冊證號H20100516
生產企業
Daiichi Sankyo Pharma Europe GmbH 德國
核准日期
2007年5月24日
修訂日期
2010年7月5日

