基本內容
量子力學中,哈密頓算符(Hamiltonian) H為一個可觀測量(observable),對應於系統的總能量。一如其他所有算符,哈密頓算符的譜為測量系統總能時所有可能結果的集合。如同其他自伴算符(self-adjoint operator),哈密頓算符的譜可以透過譜測度(spectral measure)被分解,成為純點(pure point)、絕對連續(absolutely continuous)、奇點(singular)三種部分。純點譜與本徵矢量相應,而後者又對應到系統的束縛態(bound states)。絕對連續譜則對應到自由態(free states)。奇點譜則很有趣地由物理學上不可能的結果所組成。舉例來說,考慮有限勢阱的情形,其許可了具有離散負能量的束縛態,以及具有連續正能量的自由態。
哈密頓算符產生了量子態的時間演化。
算法
哈密頓算符產生了量子態的時間演化。若為在時間 t 的系統狀態,其中為約化普朗克常數。此方程為薛丁格方程。(其與哈密頓-雅可比方程具有相同形式,也因為此,H 冠有哈密頓之名。)若給定系統在某一初始時間(t = 0)的狀態,我們可以積分得到接下來任何時間的系統狀態。其中特別的是,若 H 與時間無關。
首先,“▽”這個東西具有“雙重性格”,它既是一個矢量,又是一個微分運算元(求導運算),所以哈密頓算符兼具矢量和微分的性質。按照定義;
圖1eg:(圖2)
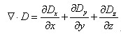
圖2其中x0,y0,z0分別為x,y,z坐標軸的單位矢量。
圖3(圖3)表示D的散度(也記為divD),Dx,Dy,Dz分別為D在x,y,z坐標軸上的分量。▽×H表示H的鏇度(也可記為rotH或curlH)。
eg:(圖4)
圖4但僅僅了解到這一地步,對我們以後簡化計算沒有任何幫助,當什麼時候它的優勢就能表現出來呢?那就是▽後的函式不再是一個簡單的 f 的時候,比如說,是兩個標量函式的乘積 fg,那這時就可以使用▽的微分運算性質了,以梯度運算為例,因為我們不知道grad的運算法則,所以直接做grad ( fg )是不方便的,但將其表示為▽( fg )後,我們利用▽的微分運算性質,就可以很容易的得到▽( fg )=g ▽f + f ▽g ,相當於
圖5
圖5矢量運算性質的套用很好理解,這裡不再贅述。知道了它的這些特性後,我們就會發現,場論書籍中給出的所有關於▽的運算公式,都有著與微分運算相似的形式,綜合這兩個特性,我們就很容易記憶這些公式了。實際上,對每一個公式我們都可以從定義出發給出嚴格的證明,但每次都回歸定義是不利於我們使用好▽的特性的,反而使運算複雜化,這也就與我們引入▽運算元的初衷相違了。
eg:(圖6)
圖6再考慮到▽為微分算符,F應在它後面,因此後項改寫為圖7
圖7故得圖8
圖8
