標準制定
2016年初,為落實中央和國務院主要領導批示,由國家質檢總局申請,財政部撥付資金,啟動了品牌價值提升工程。財政部、工信部、國家質檢總局、中國貿促會、中央電視台聯合發起成立的中國品牌建設促進會負責具體實施該工程,其中,城市品牌提升研究子項目由中國城市報社等承擔。 中國城市報社聯合中國標準化研究院、中國品牌建設促進會、中央民族大學研製該國際標準,歷經二年完成。
2017年12月29日,國家質檢總局、國家標準委發布公告,批准並發布《品牌評價城市》國家標準。標準遵循了世界公認的“品牌五要素”理論,為上升為世界標準做好準備。國家質檢總局、國家標準委強調,標準是構成國家核心競爭力的基本要素,是規範經濟、社會發展的主要技術制度,是人類交流交易的通用語言,是實現互惠互利的資源節約性國際活動的核心要素,呼籲各方落實中央精神,加大標準宣傳貫徹,推動標準實施,以標準化助力質量品牌提升。
人民日報《中國城市報》總編杜英姿認為,在中央城市工作會議召開二周年之後,發布《品牌評價城市》國標,體現了質檢總局、國標委的大局意識、政治意識。
《品牌評價城市》國家標準起草人、人民日報《中國城市報》副總常量解釋,城市發展進入品牌時代,城市品牌是城市競爭力的制高點。《品牌評價城市》國家標準是對中央城市工作會議解讀和落實,是城市發展的綜合性頂層設計,為中央考評城市和城市自我發展提供參考。
常量介紹,根據《品牌評價城市》國家標準和國家部委數據,近期將發布中國城市品牌百強市榜。
標準化專家解樹江、常量、蔡華利、鄭志受、劉正良、郭新峰等共同研製了《品牌評價城市》國家標準並分別進行了解讀。
標準全文
前 言
本標準按照GB/T 1.1-2009給出的規則起草。
本標準由全國品牌評價標準化技術委員會(SAC/TC 532)提出並歸口。
本標準起草單位:《中國城市報》社、中國標準化研究院、中國品牌建設促進會、中央民族大學
本標準主要起草人:解樹江、常量、蔡華利、鄭志受、劉正良、呂安然、王倩倩、王冉
引 言
城市品牌是城市的重要資產。加強城市品牌的培育,提升城市品牌的知名度、美譽度和公信力對於城市的經濟和社會發展具有重要意義。開展城市品牌評價是城市品牌培育的一個重要手段。本標準基於主動評價理念,按照城市知名度、城市發展實力、城市品牌呈現和城市綜合口碑等四維度設計二級指標,然後將其歸類到城市有形資產、無形資產、質量、服務和技術創新等品牌要素一級指標中,並利用數學模型定量評價城市品牌綜合影響力。本標準可作為第三方機構開展城市品牌評價、城市管理者培育城市品牌的依據。
1 範圍
本標準規定了城市品牌評價的指標體系、城市品牌綜合影響力計算方法和評價流程。
本標準適用於第三方機構開展城市品牌評價。城市管理者對城市品牌建設情況進行自我評價時可參照使用。
2 規範性引用檔案
下列檔案對於本檔案的套用是必不可少的。凡是注日期的引用檔案,僅所注日期的版本適用於本檔案。凡是不注日期的引用檔案,其最新版本(包括所有的修改單)適用於本檔案。
GB 3095 環境空氣品質標準
GB/T17775旅遊景區質量等級劃分與評定
國務院令第493號《生產安全事故報告和調查處理條例》
3 術語和定義
下列術語和定義適用於本檔案。
3.1
城市city
國家按行政建制設立的直轄市、市、區、縣、鎮。
3.2
城市品牌 city brand
能夠在城市(3.1)利益相關方意識中形成獨特印象和聯想的要素組合,包括名稱、用語、符號、標識、設計或其組合。
3.3
城市品牌綜合影響力comprehensive influenceof city brand
CICB
城市品牌(3.2)從多個維度展現出的影響能力。
3.4
城市品牌評價city brand evaluation
定量評價城市品牌綜合影響力(3.3)的活動。
3.5
評價指標基準值baseline of evaluation indicator
各定量評價指標的評價基準,一般取最優值、平均值或指定的標準值。
3.6
權重值weight of evaluation indicator
各評價指標在城市品牌評價(3.4)指標體系中的重要程度。
4 評價指標體系
4.1 指標選擇原則
城市品牌評價指標選擇,應依據如下原則:
a)全面性
全面篩選實用、可行的城市品牌評價指標,以儘可能少的指標,涵蓋城市品牌建設的各個方面。
b)層次性
指標應既能反映總體情況,又能反映不同類型城市的情況。
c)獨立性
每個指標均能反映一個側面情況,指標之間相關性小。
d)可比性
指標應便於橫向比較和縱向研究分析,不僅可以進行國內比較,還應方便與國際上進行比較,既要參照國際通用指標,又兼顧我國經濟社會發展的實際情況,選擇比較通用的指標。
e)易獲取性
指標數據獲取渠道應便利,所消耗的人財物成本較低。
4.2 城市品牌評價四維度
城市品牌綜合影響力評價一般從四維度展開,如圖1所示。
圖1 城市品牌評價四維度
城市品牌評價四維度分別是:
a)城市知名度,指城市品牌被知曉的程度,從品牌知曉情況、品牌文化設計等方面進行評價;
b)城市發展實力,指城市品牌的實力和潛力,從生態、旅遊、科技創新、文化等方面進行評價;
c)城市品牌呈現,指城市品牌在公眾面前的活躍程度,從大型節會、重大事件等方面進行評價;
d)城市綜合口碑,指以口碑的形式形成的城市品牌形象,從網路搜尋、城市品牌榮譽等方面進行評價。
本標準依據城市品牌評價四維度設計二級指標,然後再按照其屬性特徵歸類到有形資產、無形資產、質量、服務和技術創新等品牌要素中,二級指標見4.3,四維度和品牌要素的對應關係見附錄A。
5 城市品牌綜合影響力計算方法
5.1 總則
首先將每一個二級指標進行0~1標準化處理,然後按照加權求和的方法計算城市品牌綜合影響力結果。
5.2 二級指標計算方法
二級指標利用0-1標準化方法進行計算。
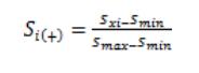
對正向指標,單項評價結果 S i(+)按式(1)計算:
品牌評價城市…………………………(1)
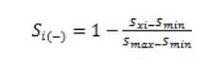
對逆向指標,單項評價結果 S i(-)按式(2)計算:
品牌評價城市…………………………………(2)
式中:
S i——第i項二級指標的單項評價結果;
S xi——第i項二級指標的實際值;
S min——第i項二級指標的逆向基準值,取最小值;
S max——第i項二級指標的正向基準值,取最大值。
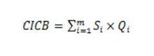
5.3 綜合影響力計算方法
城市品牌綜合影響力為各二級指標結果與其評價指標權重值的乘積之和,反映了城市品牌建設的總體水平,按式(3)計算:
品牌評價城市………………………………… (3)
式中:
C ICB——城市品牌綜合影響力;
m——二級指標總數;
Q i——第i項二級評價指標的權重值,權重值的確定方法參見附錄B。
6 評價流程
6.1 評價準備
開展城市品牌評價之前,宜開展以下工作:
——設立專家委員會,對全過程進行診斷和諮詢;
——開發資料庫,存取校驗評價數據;
——確定評價日;
——聲明評價結果有效期。
6.2 數據收集和驗證
6.2.1 數據收集
數據收集渠道應客觀、權威 ,數據收集方式可包括:
——人工定點主動收集;
——開發軟體工具自動收集;
——與數據擁有組織約定收集;
——通過問卷調查的方式收集。
6.2.2 數據驗證
為保證數據準確客觀,收集數據時,可同時採取以下措施進行數據驗證:
——多渠道信息對照核實;
——由訪談員進行抽樣回訪;
——利用資料庫進行自校驗;
——對數據進行綜合評判。
6.3 結果計算和展現方式
按第5章給出的計算方法,對每個二級指標進行處理,計算得出綜合和細分指標的評價結果,並對結果進行校驗。評價結果採用以下展現方式:
——百分制,調整計算方法,使得評價結果介於[0,100]之間;
——分級,根據分數區間進行分級,如A、B、C、D等。

