簡介
含水率和氣油比擬合主要由調整相對滲透率曲線實現, 兩者的調整方法基本相同。油藏模擬模型中的格線較大, 格線內部存在嚴重的非均質性, 實際相滲關係與由均質岩心獲得的數據差別較大。室內實驗結果表明, 相對滲透率在不同開發階段也是變化的, 例如孤島油田的油水相對滲透率關係在不同含水期是不同的, 目前絕大部分模擬器允許不同模擬部位採用不同的相滲關係, 但相滲關係隨開發過程的變化性特徵幾乎都沒有考慮。由於相對滲透率數據為敏感性參數, 因此大多數歷史擬合通常把相滲關係作為重點修改對象。
見水時間擬合
見水時間及氣竄時間的影響因素很複雜, 數值彌散對它們的影響也很大, 所以當格線步長比較大的時候, 必然會使計算值的誤差增大。為了減少這種誤差, 應該用更密的格線來進行計算, 但格線過密又會大幅度增加計算時間, 在井的周圍套用局部加密格線是一個好的方法。當油井初始模擬計算動態與實際不符合時, 例如位於油區的油井開井初期見水, 而實際情況油井並未產水, 有時出現見水時間滯後, 主要原因可能是相滲關係的端點值與初始流體飽和度( 標定儲量的飽和度值) 不匹配, 需要進行調整和修正。
應當指出, 初始含油飽和度或標定地質儲量時的含油飽和度值可能偏低, 但為了擬合見水時間, 調整後的束縛水飽和度可能比室內試驗結果偏高。影響含水率及氣油比計算值的因素還有油水界面和氣水界面的位置。例如當計算時輸入的油水界面高於實際值時也會造成見水過早及含水上升過快。所以在擬合時還應檢查所給的油水界面或氣水界面的位置是否準確, 發現問題應進行適當調整。
含水率趨勢擬合
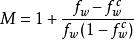
含水率的變化趨勢可通過調整相對滲透率進行擬合。根據分流量方程能夠得到修改水相相對滲透率曲線的擬合方法:
含水率與氣油比擬合
含水率與氣油比擬合式中:
含水率與氣油比擬合——— 上疊代步算出的水相相對滲透率;
含水率與氣油比擬合——— 計算得到本疊代步算出的水相相對滲透率;
含水率與氣油比擬合
含水率與氣油比擬合、 ——— 分別為計算含水率和實際含水率。
l = 0 表示給定的初始相對滲透率值。
以上對影響壓力、含水率和氣油比計算值的各個因素進行了分析, 但在實際模擬中造成計算值和實測值不相符合的因素是多方面的, 調整一個參數可以對幾個擬合指標都產生影響。例如調整滲透率或原油粘度後, 壓力分布和單井壓力都發生變化; 調整相對滲透率曲線時, 會導致該相流量的改變, 必然導致壓力變化; 當把水的相對滲透率曲線下移時, 造成水相的流量減少, 導致流動時的壓力值減少。因此, 在歷史擬合中需要綜合調整多個物性參數。

