簡介
在某一空調使用尖峰時段,同一幢建築內所有房間的空調同時開啟的機率是非常小的。這就引出了同時使用係數的概念,即在空調高峰使用時段,一建築內部同時開啟的空調機的冷量占大樓內空調總冷量的百分比。
隨著科學技術的高速發展和廣泛套用,區域供冷系統因其節能、高效、自動化程度高等優勢,越來越多地受到投資方和業主的重視,同時使用係數這一概念也被引入了區域供冷系統的設計中,作為區域供冷系統設計過程中的重要參數。
單一建築的同時使用係數
建築內空調使用工況隨機性的本質,使得在確定同時使用係數的時候要套用機率的概念。同時使用係數K 是一個小於1 的無量綱常數,它反映的是空調尖峰時段的用戶空調同時使用的機率,它與建築的特點、建築中人口結構、日常使用規律、所用空調設備的數量和容量、安裝情況等諸因素有關,確定這一係數的基礎是建築內空調使用工況的實際調查數據。而確定適用於任何用戶數的同時使用係數值,是以有限數取得的調查結果為基礎的。這就有可能套用機率論的方法 。
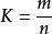
如上所述,同時使用係數反映尖峰時段住宅空調同時使用的機率。在尖峰時段對住宅空調使用情況進行實際觀測,結果為空調開啟或關閉兩種情況,這樣進行n 次觀測(每戶觀測一次),觀測結果,如有m 戶的空調在高峰時開啟,則同時使用係數為:
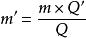
同時使用係數這裡有一點需要說明的是,每戶空調機數量有可能不只-台,空調機的數量和容量由建築結構特點和用戶的實際需求決定。對一次觀測而言,如某戶用戶有兩台空調,而尖峰時段只開啟其中一台,在統計結果中應體現這一差別,即應將觀測所得資料換算成當量值。
如在尖峰時段作n 次觀測,結果是有m 戶的空調開啟,而這m 戶中實際使用的空調機冷量為Q’,而m 戶空調機總冷量為Q ,則在空調尖峰時段使用空調用戶的當量數應為:
同時使用係數區域供冷系統中的同時使用係數
在明確了區域建築規劃方案中各建築的冷負荷基礎上,區域供冷系統能源站逐時負荷情況即為:
同時使用係數
同時使用係數......
同時使用係數
同時使用係數-各建築的逐時負荷,(n=0,1,2,……23),(k=住宅,商用,旅館,辦公,文體);
同時使用係數-各類建築本身的同時使用係數;
同時使用係數-各類建築的面積。
同時使用係數
同時使用係數
同時使用係數-區域供冷系統能源站負荷;
同時使用係數-區域同時使用係數。
由此即可確定區域供冷系統能源站冷負荷以及同時使用係數 。

