同位素比值分析
同位素比值分析的套用主要有三大類:(1)穩定和不穩定同位素比值測定,主要用於地學研究和環境研究;(2)同位素示蹤實驗,主要用於生物和醫學研究、化學反應以及新陳代謝研究等;(3)同位素稀釋法,用於痕量和超痕量元素濃度分析。
同位素是原子序數相同,但原子質量不同的一些原子,即質子數相同但中子數不同。天然形成的同位素不到300個,這些同位素在太陽系形成之前由核合成反應產生,其組成足夠均勻且穩定。
自然界中一些天然同位素的同位素豐度會發生一些變化,這些同位素變異來自質量分餾、放射性衰變、宇宙射線、隕石中未混合的原始物質的殘留物以及人類活動等。這些同位素變異在一定研究領域具有重要意義,比如在地學研究中的宇宙同位素地球化學;地球早期演化歷史研究;重大地質構造和生物、環境演化事件的年代學和同位素地球化學研究;花崗岩、火山岩、幔源包體和地殼、地幔流體的同位素研究;造山帶和高壓變質帶的時代、溫壓條件和物質運移的同位素研究;礦床同位素定年;環境同位素地球化學;生物,同位素地球化學等。
在同位素比值分析中,熱電離質譜法(TIMS)一直是主要分析技術。自從多接收器扇形磁場ICP-MS出現後,開始逐步取代TIMS。多接受器扇形磁場ICP-MS的最大特點是不僅測定精密度和TIMS相當,而且可以分析TIMS難分析的高電離電位元素。對於那些精密度要求不苛刻的套用,單接收扇形磁場ICP-MS也是一種很好的技術。在低分辨時的峰為平頂狀,所以測定精密度還是優於四級桿系統。另外,在高分辨時,可以直接測定那些受多原子離子干擾的同位素比值。
同位素比值分析在核工業和環境研究中用於燃料的質量評價,放射性廢料控制以及環境監控。
同位素示蹤實驗在生物和醫學研究中具有重要意義。比如,對Li,Fe,Zn,Cu,Se,Pb等元素都有示蹤實驗,這些研究對於新陳代謝、治療、毒性研究都很重要。
同位素稀釋法是一種絕對定量分析方法。通過添加一定量的同位素,有意的改變樣品中元素的同位素比值來實現痕量元素的濃度測定。同位素稀釋法的準確度和精密度很好,在標準物質定值分析以及一些含量超含量元素分析中的到越來越多的套用。
同位素比值測定精密度
雙聚焦扇形磁場單接收器ICP-MS
同位素比值
同位素比值
同位素比值
同位素比值
同位素比值
同位素比值
同位素比值
同位素比值
同位素比值
同位素比值
同位素比值
同位素比值雙聚焦扇形磁場單接收器ICP-MS與四極桿系統相比,靈敏度較高,背景較低。由於在低分辨時的平頂峰使同位素測定精密度有所改善。一般RSD為0.02%~0.3%。比如,採用Finnigan MAT 的ELEMENT在低分辨時測定 / 以及 / ,精度可達0.04%RSD。 / 在中分辨時RSD可達0.1%。測定地表水和地下水中 / 的精密度為0.1%~0.2%; / 短期精密度可以達到0.026%RSD; / 精密度為0.3%。Pu同位素比值採用四極桿測定精密度是4%,而雙聚焦扇形磁場質譜儀的精密度是0.3%。
碰撞反應池ICP-MS
同位素比值
同位素比值
同位素比值
同位素比值
同位素比值
同位素比值碰撞反應池技術的引入,由於減少了離子能量擴散,改善了離子傳輸效率,使同位素比值測定的靈敏度和精密度有所改善。比如六級桿碰撞池的PlatformICP-QMS測定 / 同位素比值精密度為0.086%RSD; / 同位素比值精密度為0.03%RSD。採用裝有四極桿碰撞反應池的Elan 6100 DEC測定NIST81的 / 同位素比值測定短期精密度為0.3%。
飛行時間ICP-MS
同位素比值
同位素比值飛行時間ICP-MS由於具有每秒20000~30000譜線的同時檢測能力,同位素比值分析可獲得很好的精密度,最近幾年得到了很大的重視。Vanhaecke等(1999)報導的ICP-TOFMS系統測定同位素比值精密度一般≤0.05%。質量歧視與其他類型的ICP-MS儀器差不多(在中質量處大約為1%)。Emteborg等(2000)用同位素RMs評價了一種軸向ICP-TOFMS儀器測量同位素精密度和質量偏倚問題。在模擬檢測方式下,高信號的同位素比值測定的RSD<0.05%。但 : 的質量偏倚為13%,而在高質量段,質量偏倚只有0.2%左右。
多接收器ICP-MS
多接收器ICP-MS是ICP-MS一起的一個非常重要的進步,該儀器使同位素比值測定精密度有了實質性的突破,目前已成為真正的高精度同位素分析儀器。MC-ICP-MS結合了電漿的高電離效率和多接收器磁場質譜儀高精度同位素的優點,在同位素研究中具有巨大的潛力。電漿的離子化效率比TIMS高一個數量級左右,許多TIMS無法測定或者難以測定的高電離元素,利用MC-ICPMS都可以精確測定其同位素組成,而且ICP-MS可以方便地與雷射系統聯用,直接進行固體樣品微區分析,可以同時測定多種元素的同位素,因而顯著的提高測試工作效率。由此大大拓展了同位素年代學和地球化學的研究範圍,對同位素研究帶來深遠的影響。MC-ICP-MS測定同位素比值的精密度可達0.001%RSD,甚至更好。
影響同位素比值分析的因素
同位素比值分析的關鍵指標是精密度和準確度。影響同位素比值測定精密度和準確度的因素很多,比如質量歧視、質量標尺偏移、背景和污染、檢測器死時間、分析線性、基體效應等。其中最主要的因素是質量歧視效應、同位素比值漂移和基體效應。
質量歧視和基體效應
同位素比值
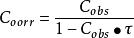
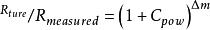
同位素比值儀器對不同質量的離子所產生的回響不同,這種系統誤差成為質量歧視。基體效應也會引起離子信號回響的變化。ICP-MS中的質量歧視效應源自離子傳輸效率和空間電荷效應,其中空間電荷效應被認為是最重要因素。質譜儀器如果沒有質量歧視的話,其不同質量的回響應該是一水平直線。四極桿系統的質量歧視一般較大,其質量效益曲線一般彎曲形,即輕質量最輕鬆,中質量最高,高質量又略下降。比如在低質量端 / 的質量歧視高達16%,而TIMS一般小於1%。ICP-MS中質量歧視通常採用三種辦法進行校正:(1)採用有已知準確同位素比值的標準參考物質來校正質量歧視;(2)內標法,用於分析元素有三個或者更多個同位素時,而且至少有一個同位素比值是確定的和穩定的;(3)外標法,加入一種和待測同位素在同樣質量範圍的元素作為內標,測定質量歧視因子進行校正。
質量歧視矯正方程有線性、冪方程和指數方程。
同位素比值
同位素比值
同位素比值
同位素比值
同位素比值冪公式 式中(1+C)———質量歧視因子; ——同位素真實比值; ——同位素測量比值; ——兩個同位素的質量差
同位素比值指數公式
同位素比值線性公式
檢測器死時間
電子倍增器在脈衝方向工作時,在高技術率的情況下,檢測器獲得的技術比實際到達檢測器的離子數要少,這種現象主要是檢測器的死時間所致。所謂死時間是指檢測器檢測和電學處理一個離子脈衝所需要的時間。假如第二個離子在處理第一個離子脈衝的時間內就撞擊檢測器表面,那它就不會被檢測到,因此技術率將低於實際技術率。ICP-MS儀器中死時間一般為15~100ms。對於元素濃度分析來講,死時間對分析結果影響不大,一般採用工廠確定的預設死時間即可。但對於同位素比值分析,死時間是一個必須考慮的參數。在同位素分析中,為了獲得較好的精密度和準確度,一般要求足夠高的技術率,因此可能會導致豐度較高的同位素離子技術率受到死時間的嚴重影響。因此必須對此時間進行校正。死時間會隨檢測器使用時間而變化,而且死時間與分離離子的質量有關,所以最好針對所分析同位素及時進行死時間校正。
同位素比值
同位素比值
同位素比值
同位素比值死時間公式 式中 ——經過死時間校正後的同位素計數值; ——儀器死時間設定為零時觀測到的同位素的計數率; ——檢測器死時間 。
