定義
合併方式通常是套用在空間分集中的。在接收端取得M條相互獨立的支路信號以後,可以通過合併技術來得到分集增益。根據在接收端使用的合併技術的位置不同,可以分為檢測前合併技術和檢測後合併技術。
分類
選擇式合併是檢測所有分集支路的信號,以選擇其中信噪比最高的那一個作為合作器的輸出,也稱為開關式相加。
假設M個輸入信號電壓為r1(t),r2(t),…,rM(t),並設合併後的輸出為r(t),r(t)可以表示為:
式中為第k個信號的加權係數。選擇不同的加權係數可構成不同的合併方式。目前主要的合併方式有選擇合併、反饋合併、最大比合併以及等增益合併四種。
2.1選擇合併
在選擇式合併器中,有效的加權係數只有一個,其餘均為0。圖1是選擇式合併的示意圖,兩個支路的中頻信號分別經過調製,然後進行信噪比的比較,選擇信噪比較高的支路接到接收機的輸出部分。
選擇合併方法簡單,實現容易,但由於丟棄了未選擇的支路信號,因此抗衰落性能不是最佳,但如果在中頻或高頻實現合併,就必須保證各支路的信號同相,這會增加電路的複雜性。
2.2反饋或掃描合併
掃描合併與選擇合併非常相似,但是它不是總採用M個支路中最好的支路,而是以一個固定順序掃描M個支路,直到發現某一支路的信號超過了預置的閾值,再將這路信號送至接收機。一旦該路信號低於閾值之下,掃描過程將重新開始。其工作原理如圖2所示。
圖2 反饋掃描合併原理圖
2.3最大比值合併
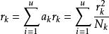
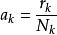
最大比值合併的方式是一種比較好的合併方式。它對M路信號進行加權,而權重是由各路信號所對應的信號電壓和噪聲功率的比值所決定的。其合併原理如圖3所示。
合併方式每一條支路信號包絡rk(t)用rk表示,每一支路的加權係數ak與信號包絡rk成正比而與噪聲功率Nk成反比,即:,由此可知最大合併比值合併器的輸出信號包絡為:
合併方式2.4等增益合併
在某些情況下,按最大比值合併的需要產生可變的權重並不方便,因而出現了等增益合併。這種方法把各支路信號進行同相後再迭加,迭加時,各路的權重都相同。這樣,接收機仍可以利用同時收到的各路信號,並且接收機從大量不能解調出來的信號中合成出一個可解調信號的機率仍很大。
等增益合併方式實現比較容易,其性能接近於最大比值合併,這是由於等增益合併無需對信號加權,各支路的信號是等增益相加。
等增益合併的原理如圖4所示。
可以看出,在這三種合併方式中,最大比值合併的性能最好,選擇式合併的性能最差。當N較大時,等增益合併的合併增益接近於最大比值合併的合併增益。
