受迫振動
受迫振動例如揚聲器紙盆的振動錄音機耳機中膜片的振動都受到外來驅動力的持續作用振動頻率都與驅動力的頻率有關與其自身的固有頻率無關。
體作受迫振動的振幅保持不變它的大小不僅和驅動力的大小有關還與驅動力的頻率以及作振動的物體自身的固有頻率有關作受迫振動的物體一邊克服阻力做功輸出能量一邊從驅動力的做功中輸入能量當從驅動力輸入系統的能量等於物體克服阻力做功輸出的能量時系統的能量達到動態平衡總量保持不變振幅保持不變作等幅振動。
當周期性驅動力的頻率和物體的固有頻率相等時振幅達到最大,即共振。
減小受迫振動的措施
受迫振動是由周期性變化的激振力所引起的其振動頻率等於激振力的頻率或為激振力頻率的倍數可根據振動頻率找出振源並採取適當的措施加以消除。
主要途徑包括:(1)減少激振力(2)調整振源頻率(3)提高工藝系統的剛度和阻尼(4)採取隔振措施((5)採用減振裝置
動力學方程
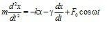
設質點受到三種力彈性力-kx阻尼力-γdx/dt周期性外力亦稱驅動力設驅動力F(t)按餘弦或正弦規律變化且初相位為零即F(t)=Fcosωt.
根據牛頓第二定律得受迫振動的動力學方程式可改寫為
動力學方程
