基本概念
卷積層與取樣層結構示意圖 卷積層是取樣層的輸入層,卷積層的一個特徵面與取樣層中的一個特徵面對應,且取樣層的神經元也與其輸入層的局部接受域相連,不同神經元局部接受域不重疊。取樣層旨在通過降低特徵面的解析度來獲得具有空間不變性的特徵。取樣層起到二次提取特徵的作用,它的每個神經元對局部接受域進行池化操作。常用的池化方法有最大池化(max-pooling)即取局部接受域中值最大的點、均值池化(mean pooling)即對局部接受域中的所有值求均值、隨機池化(stachastic pooling) 。
取樣層輸出神經元個數
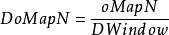
取樣層在上一層滑動的視窗也稱為取樣核。事實上,CNN中的卷積核與取樣核相當於Hubel-Wiesel模型中感受野在工程上的實現,卷積層用來模擬Hubel-Wiesel 理論的簡單細胞,取樣層模擬該理論的複雜細胞。CNN中每個取樣層的每一個輸出特徵面的大小(神經元個數)DoMapN為:
取樣層 其中,取樣核的大小為DWindow,在上圖中DWindow=2。取樣層通過減少卷積層間的連線數量,即通過池化操作神經元數量減少,降低了網路模型的計算量。
