簡介
光柵是一種多狹縫部件。光柵光譜的產生是多狹縫干涉和單狹縫衍射兩者聯合作用的結果。多縫干涉決定光譜線出現的位置,單縫衍射決定譜線的強度分布。光柵分為透射光柵和反射光柵,用得較多的是反射光柵。反射光柵又可分為平面反射光柵(或稱閃耀光柵)和凹面反射光柵(簡稱凹面光柵)。
平面反射光柵
目前,廣泛套用的平面反射光柵,是在玻璃坯上鍍一層鋁膜,然後用金剛石在這鋁膜上刻劃出很密的平行刻槽而成。目前我國大量生產的平面反射光柵每毫米刻槽600條或1200條,最密的達到每毫米1800條。由於鋁在近紅外區域和可見區域的反射係數都比較大,而且幾乎是常數,更重要的是它在紫外區域的反射係數比金和銀都大;再加上它比較軟,便於刻劃,所以通常都用鋁來做反射光柵。在鋁膜上刻劃出適當的槽形,就能把光的能量集中到某一級,從而克服了光柵的光強不如稜鏡的缺點。另外,製造透紅外線或紫外線的稜鏡有各種困難,如石英在紅外區域色散太小,食鹽怕潮等等,而反射光柵就沒有這些間題。鋁製的反射光柵,幾乎在紅外、可見和紫外等區域都能用。而且,一塊光柵刻好後,可以用它複製多塊,複製出的好光柵還可以再複製,複製方法也簡單。由於有這許多優點,在目前製造的分光儀器中,幾乎都用反射光柵代替稜鏡。
平面反射光柵強度公式
反射光柵
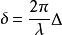
反射光柵先求一條刻槽衍射到0方向上的光在P.點產生的合振動。仍假定刻槽的橫斷面為鋸齒形,如圖所示。一條刻槽兩邊A和B兩點向0方向發出的衍射光的光程差為 ,進而可以寫成 。
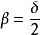
反射光柵相應的周相差為:
反射光柵
反射光柵把槽面分成寬度為無限小的許多平行小長條。由矢量合成的圖解法,這些小條上的一小段所發出的子波在eP點產生的光振動迭加時排成一段圓弧,它們的合振動的振幅a,為弦 。
一條刻槽所產生的振幅AB
反射光柵即 。
反射光柵
反射光柵
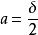
反射光柵現在要求計算的就是 ,令 ,由上圖可見 。
反射光柵
反射光柵式中等於所有小長條在P點產生的振動周相都相同時合振動的振幅。因為這時周相差為O,由矢量合成的圖解法可知,合矢量就是所有矢量沿直線頭尾相接排成的矢量,它的長度就等於所有矢量的長度之和,也就是弧AB的長度。由於現在周相差為0,也就是光程差為0,所以也就是槽面反射方向上P點的振幅。(槽面反射方向是指這樣的衍射光的方向,它與槽面法線的夾角等於入射光線與槽面法線的夾角)
如果槽形不是鋸齒形,而是滿足一定條件的其他光滑曲面,則矢量合成圖就不是圖中那樣的一段圓弧,而是由槽形決定的一段光滑曲線,合振動的振幅a口就是這段曲線頭尾之間連線的長度。
再求各刻槽在P點產生的振動的相干迭加,如圖所示,相鄰兩槽的光程差為
反射光柵
相鄰兩槽的光程差
反射光柵相應的周相差為。
反射光柵
反射光柵
反射光柵
反射光柵在光柵共有N條刻槽,每條刻槽在P產生的振幅都是。相鄰兩槽的周相差都是,令,則N條刻槽在點產生的振動合成如圖所示
反射光柵
反射光柵所以N條刻槽的子波在點相干迭加的合振幅便為
反射光柵
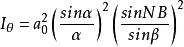
反射光柵所以由定義得點的相對強度為:
反射光柵平面反射光柵的特點
a) 根據光柵方程,當光柵常數d為定值時,對於同一方向(α一定)入射的複合光在同級光譜(m一定)中,不同波長(有不同的衍射角β與之對應,因而可在不同的衍射方向之獲得不同波長的譜線(主極大)。這就是光柵的色散原理。
b) 對一定波長(的單色光而言,在光柵常數d和入射角α固定時,對於不同級次m(m=0 ±1 ±2......)可得到不同角β的衍射光,即同一波長可以有不同級次的譜線(主極大)。
c) 對於複合光,當m=0時,在β=-α的方向上,任何波長都可使光柵方程成立,即在此方向上,光柵的作用就象一面反射鏡一樣,將得到不被分光的零級光譜,入射光束中的所有波長都疊加在零級光譜中。當d和α為固定值時,對於不同波長、不同級次的光譜,只要其乘積m(等於上述定值,則都可以在同一衍射角β的方向上出現。
例如,一級光譜中波長譜線和二級譜線、三級譜線......重疊在一起。這種現象稱為光譜級次的重疊。它是光柵光譜的一個缺點,對光譜分析不利,應設法予以清除。在平面光柵光譜儀中,常用不同顏色的濾光片來消除這種級次重疊。同時為了獲得足夠的光能量,在ICP光譜分析中,通常選擇第一級(m=1)或第二級次(m=2)的光譜譜線。
凹面光柵
又稱羅蘭光柵(Rolland grating)。它的作用是使光既衍射又聚焦。因而凹面光柵攝譜儀只需光柵、狹縫及感光板三部分。它可減少吸收現象,只存在光柵面一次反射的光損失,且無色差。可用於遠紫外光譜及遠紅外光譜區域。
在高反射金屬凹面上刻劃一系列的平行線條構成反射光柵,具有分光和聚光能力。若將狹縫光源和凹面光柵放置在同一圓周上,且該圓的直徑等於凹面光柵的曲率半徑,可得到很銳的細光譜線,該圓稱為羅蘭圓如圖(a)。常見的凹面光柵光譜儀有三種裝置,即羅蘭裝置,帕邢裝置和依格爾裝置。
羅蘭裝置如圖(b)所示,光柵中心和感光板中心固定在可動的連桿兩端,連桿的長度為光柵的曲率半徑,其兩端可沿互相垂直的導軌自由滑動,狹縫裝有導軌的交點上。在連桿移動過程中,狹縫、光柵和感光板始終在一羅蘭圓上。這種裝置的缺點為:只能用移動連桿來讀取不同波段的光譜。
帕邢裝置的羅蘭圓為一圓形鋼軌如圖(c),狹縫和光柵都固定在鋼軌上,感光板環繞鋼軌安裝有一排底板架因而可同時拍攝幾組光譜,其優點是穩定性高。
依格爾裝置如圖(d)所示,其入射角等於衍射角,其中縫光源安裝在底板架的正上方,要改變波段可將光柵和底板沿相反的方向轉動同一角度,改變二者間的距離,使之始終位於羅蘭圓上。該裝置優點為體積緊湊,通常用於真空紫外光譜儀。
反射光柵
