簡介
參考光是由光源發出的光,經反射擴束直接射到乾板上,物光是光源發出的光,經過物體反射之後射到乾板上,其相位、振幅收物體表面的影響,會和參考光不同,這兩束光照到乾板上,干涉情況與物體有關,所以條紋可記錄物體的相位信息,從而拍出全息照片。
參考光束是用於讀取和寫入全息圖的雷射束。它是用於創建全息圖的兩個雷射束之一。為了讀取全息圖,參考光束的一些(即其入射角和光譜)必須與用於寫入全息圖時一樣精確地傳播。 因此,通常參考光束是高斯光束或球面波束(從單點輻射的光束),這些光束易於再現。
用於寫全息圖的另一根光束是信號光束或物體光束,簡稱物光。
全息成像中的參考光束
波前記錄
用干涉法記錄物光波:
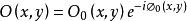
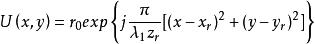
參考光束假定記錄介質H位於xy平面上,物光波前在H上產生的復振幅分布為:
參考光束引入一相干參考波,該參考波在H上產生的復振幅分布為:
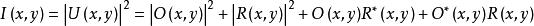
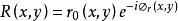
參考光束那么,兩波相遇疊加的總光場是:
參考光束對應的強度分布為
參考光束
參考光束
參考光束其中, 分別為物光和參考光的強度, 為干涉項。干涉項中包含了物體光波振幅和位相信息。
波前再現
用衍射法再現物光波
參考光束兩個波前的干涉圖樣通過曝光經顯影處理後將全部記錄到記錄介質上,稱為全息圖。全息圖實際上是一幅干涉圖。
記錄介質的作用相當於線性變換器,它把曝光時的入射光強線性地變換為顯影后負片的復振幅透過率:
參考光束若假定參考光強在H表面上是均勻的,則:
參考光束
參考光束用參考波照明和用共軛參考波照明:
參考光束用相干光波照射全息圖,假定它在全息圖平面上的復振幅分布為C(x,y),全息圖的透射光場分布為:
參考光束若採用參考光波照射全息圖,即C(x,y)=R(x,y),則:
參考光束
參考光束不考慮常數因子的影響,U是原始物光波的準確復現,給出物體的一個虛像;O*是物光波前的共軛,若原始物波是發散的,則共軛光波是會聚的,因此U的傳播將給出物體的一個實像。此時,虛像沒有變形,而實像有變形。
若採用共軛參考光照明全息圖,即C(x,y)=R*(x,y),則:
參考光束
參考光束U和U仍正比於物光波前或其共軛,將分別產生虛像和實像;此時,虛像有變形,實像沒有變形。
分析
全息圖可看作是很多基元全息圖的線性組合,了解基元全息圖的結構和作用對於深入理解整個全息圖的記錄和再現機理非常有益。
空域方法是把物體看作一些相干點源的集合,物光波前是所有點源發出的球面波的線性疊加。每一個點源發出的球面波與參考波干涉,記錄的基元全息圖稱為基元波帶片;
頻域方法是把物光波看作由很多不同方向傳播的平面波分量的線性疊加,每一個平面波分量與參考平面波干涉而記錄的基元全息圖稱為基元光柵。
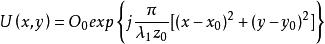
參考光束如右圖,參考波是由坐標在 的點源發出的球面波,在傍軸近似下,投射到照相膠片上的波前為:
參考光束由於物體是由很多點集合而成的,若考慮一物點(x,y,z)發出的球面波,投射到照相膠片上的波前近似為 :
參考光束
參考光束