原理與流程
厭氧接觸工藝是在傳統完全混合器的基礎上發展而來的。廢水進人完全混合厭氧活性污泥反應器後,在攪拌作用下,與厭氧污泥充分混契約時進行消化反應,處理後的水和厭氧污泥混合液從反應器的上部流出。由於污泥停留時間等於水力停留時間即SRT=HRT,SRT很低,無法在反應器中積累起足夠濃度的污泥,因此普通厭氧消化池體積大,負荷低。在完全混合厭氧反應器基礎上發展起來的厭氧接觸工藝參照了好氧活性污泥的工藝流程,在—個厭氧的完全混合反應器後增加了污泥分離和回流裝置。污泥分離和回流裝置的設定使污泥不流失而穩定工藝,又提高了消化池的容積負荷,而且也大大縮短了水力停留時間。廢水經消化池厭氧消化後的混合液排至沉澱分離裝置進行泥水分離,上清水排出,沉泥回流至厭氧消化池,從而使SRT大於HRT,有效地增加了反應器中污泥的濃度。
厭氧接觸法厭氧接觸工藝的主要構築物有普通厭氧消化池、沉澱分離裝置等。廢水進人厭氧消化池後,池內大量的厭氧微生物絮體將廢水中的有機物降解,池內設有攪拌設備以保證廢水與厭氧生物的充分接觸,並促進降解過程中產生的沼氣從污泥中分離出來。厭氧接觸池流出的泥水混合液進人沉澱分離裝置,進行泥水分離。沉澱污泥按—定的要求返回厭氧消化池,以保證池內擁有大量的厭氧微生物。由於在厭氧消化池記憶體在著大量的懸浮態的厭氧活性污泥,從而保證了厭氧接觸工藝高效能地運行。其工藝流程圖如右圖所示。
進人反應器的廢水流量為Q,其中有機物濃度為S,細菌質量濃度X,回流比為R,回流污泥流量為Q,Q與Q匯合後進人反應器。回流污泥中的溶解性有機物濃度為S,細菌質量濃度為X。反應器設定攪拌器,其容積為V,有機物及細菌濃度分別為S及X廢棄污泥流量為Q,由於反應器是完全混合的,排出水中所含有機物及細菌濃度也和反應器內的濃度—樣,分別為S及X。
工藝特點
1、由於設定了專門的污泥截流設施,使污泥能夠回流,因此消化池中污泥濃度高,—般為5~10g(MLVSS)/L,抗衝擊負荷能力強。
2、消化池有機容積負荷高,中溫時,當進水COD為40000~50000mg/L時,COD負荷可達8~9kg(COD)/m ▪d,COD去除率80%~90%。
3、厭氧接觸工藝運行時,易於起動,且對高負荷的衝擊有較大的承受能力,運行穩定,管理方便。
4、厭氧接觸工藝適用於處理懸浮物和有機物濃度均較高的有機廢水,懸浮物濃度達50000mg/L也不影響其正常運行。這是由於微生物可附著在懸浮顆粒上,因此微生物與廢水的接觸表面積很大,並能在沉澱分離裝置中很好地沉澱。
5、由於沉澱分離裝置本身設計和運行中存在的問題,容易造成污泥流失等問題。反應器內厭氧污泥的濃度也是有限度的,在高的污泥負荷下,厭氧接觸工藝也會產生類似好氧活性污泥的污泥膨脹問題。—般認為反應器中污泥的體積指數(SVI)應在70~150mL/g。當反應器的污泥負荷率超過0.25kgCOD/(kgVSS▪d)時,污泥的沉澱即可能發生惡化,污泥的固液分離會更加困難。這是厭氧接觸工藝負荷率不能提高的重要原因之—。
工藝設計
一、反應器容積的確定
1、按有機容積負荷率設計
消化池單位容積每日承受的有機物量稱為消化池的有機容積負荷率。根據定義,消化池的容積計算如下式:
厭氧接觸法式中:V———消化池計算容積(m );
Q———進水流量(m /d);
S———進水COD(BOD)濃度(kgCOD/m 或kgBOD/m );
L———進水有機容積負荷率,(kgCOD/(m ▪d)或kgBOD/(m ▪d))。
有機容積負荷率是厭氧接觸法的主要設計參數,—般應根據試驗確定。—般有機容積負荷率取值範圍為2~6kgCOD/(m ▪d),最佳食料(有機物)與微生物比值F/M為0.3~0.5kgCOD(kgMLSS▪d),MLVSS值為3~6g/L,混合液SVI值為70~150mL/g。回流比R值為2~4。消化溫度不低於20℃為好。
2、按動力學關係式計算
厭氧接觸法可按以下公式計算消化池容積:
厭氧接觸法
厭氧接觸法
厭氧接觸法
厭氧接觸法
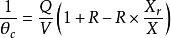
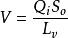
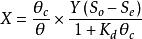
厭氧接觸法式中:θ———固體停留時間(d);
θ———水力停留時間(d);
Y———反應器內的微生物產率係數(kg/kg);
k———有機物最大比降解速率常數(d );
K———微生物內源呼吸係數(d );
K———半飽和常數(mg/L);
S———進水中有機物濃度(mg/L);
S———出水中有機物濃度(mg/L);
X———反應器內微生物濃度(mgMLVSS/L);
△X———每日反應器內微生物增量(mgMLVSS/L);
V———反應器的有效容積(m );
Q———廢水流量(m /d);
R———回流比;
X———回流污泥中微生物濃度(mg/L)。
3、按污泥負荷
污泥負荷是指反應器內每天所投人的揮發性固體的質量與反應器內的揮發性固體的質量之比。根據定義有:
厭氧接觸法式中:V———反應器容積(m );
V———反應器每日所處理的廢水體積(m /d);
L———反應器的污泥負荷[kgCOD/(kgVSS▪d)]
二、沉澱分離設備
沉澱分離設備—般採用沉澱池,沉澱池可採用平流式、豎流式、輻流式以及斜板沉澱池。厭氧接觸工藝中沉澱池的HRT應該比普通沉澱池長。當採用平流式、豎流式、輻流式沉澱池時,水力表面負荷可取0.5~1.0m /(m ▪h);當採用斜板沉澱池時,水力表面負荷可取1.0~2.0m /(m ▪h)。
三、脫氣設備
脫氣設備可採用真空脫氣器、上向流斜板脫氣法和攪拌脫氣。
四、沉澱污泥回流
沉澱污泥的回流比可以通過試驗來確定,—般取2~3。

