原子的矢量模型
正文
原子(含電子,質子,中子)-內部結構模型圖原子中電子的軌道角動量、自旋角動量以及由自旋軌道耦合而成的角動量,都可以用一矢量PK來表示。矢量的方向平行於相應角動量方向,矢量長度正比於相應角動量大小。兩個角動量P
和P
相互作用而耦合,其合成角動量矢量PJ的方向和大小由兩角動量矢量P
和P
的矢量和決定,即PJ=P
+P
。鑒於量子力學對角動量大小和對空間特殊方向取向量子化要求,得 



式中K1、K2和J是相應角動量的量子數,
,h為普朗克常數。角動量在空間特殊方向z軸上的分量為 
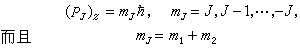
其合成角動量在z軸上的分量為

原子內電子間角動量耦合應按LS 耦合或jj 耦合兩種方式把相應角動量矢量按一定的次序合成。原子的矢量模型也適用於核角動量與電子角動量的耦合。由於核磁矩遠比電子磁矩小,所以核角動量引起的能級分裂稱為能級的超精細結構(見原子光譜的超精細結構)。原子的矢量模型對於用光譜研究原子結構十分有用。
參考書目
褚聖麟編:《原子物理學》,人民教育出版社,北京,1979。
H. E. White, Introduction to Atomic Spectra,McGraw-Hill,New York,1934.
