詳解
在數學中, 卡羅需-庫恩-塔克條件(英文原名:Karush-Kuhn-Tucker Conditions常見別名:Kuhn-Tucker,KKT條件,Karush-Kuhn-Tucker最最佳化條件,Karush-Kuhn-Tucker條件,Kuhn-Tucker最最佳化條件,Kuhn-Tucker條件)是在滿足一些有規則的條件下,一個非線性規劃(Nonlinear Programming)問題能有最最佳化解法的一個必要和充分條件。這是一個廣義化拉格朗日乘數的成果。
考慮以下非線式最最佳化問題:
卡羅需-庫恩-塔克條件[卡羅需-庫恩-塔克條件]
卡羅需-庫恩-塔克條件[卡羅需-庫恩-塔克條件]
卡羅需-庫恩-塔克條件[卡羅需-庫恩-塔克條件]
卡羅需-庫恩-塔克條件[卡羅需-庫恩-塔克條件]
卡羅需-庫恩-塔克條件[卡羅需-庫恩-塔克條件]
卡羅需-庫恩-塔克條件[卡羅需-庫恩-塔克條件]
卡羅需-庫恩-塔克條件[卡羅需-庫恩-塔克條件]
卡羅需-庫恩-塔克條件[卡羅需-庫恩-塔克條件]是需要最小化的函式, 是不等式約束, 是等式約束, 和 分別為不等式約束和等式約束的數量。
不等式約束問題的必要和充分條件初見於卡羅需(William Karush)的博士論文,之後在一份由W.庫恩(Harold W. Kuhn)及塔克(Albert W. Tucker)撰寫的研討生論文出現後受到重視。
必要條件
卡羅需-庫恩-塔克條件[卡羅需-庫恩-塔克條件]
卡羅需-庫恩-塔克條件[卡羅需-庫恩-塔克條件]
卡羅需-庫恩-塔克條件[卡羅需-庫恩-塔克條件]
卡羅需-庫恩-塔克條件[卡羅需-庫恩-塔克條件]
卡羅需-庫恩-塔克條件[卡羅需-庫恩-塔克條件]
卡羅需-庫恩-塔克條件[卡羅需-庫恩-塔克條件]
卡羅需-庫恩-塔克條件[卡羅需-庫恩-塔克條件]
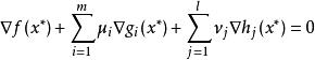
卡羅需-庫恩-塔克條件[卡羅需-庫恩-塔克條件]假設有目標函式,即是要被最小化的函式 ,約束函式 及 。再者,假設他們都是於 這點是連續可微的,如果 是一局部極小值,那么將會存在一組所謂乘子的常數 , 及 ,令到
卡羅需-庫恩-塔克條件[卡羅需-庫恩-塔克條件]
卡羅需-庫恩-塔克條件[卡羅需-庫恩-塔克條件]
卡羅需-庫恩-塔克條件[卡羅需-庫恩-塔克條件]充分條件
卡羅需-庫恩-塔克條件[卡羅需-庫恩-塔克條件]
卡羅需-庫恩-塔克條件[卡羅需-庫恩-塔克條件]
卡羅需-庫恩-塔克條件[卡羅需-庫恩-塔克條件]
卡羅需-庫恩-塔克條件[卡羅需-庫恩-塔克條件]
卡羅需-庫恩-塔克條件[卡羅需-庫恩-塔克條件]
卡羅需-庫恩-塔克條件[卡羅需-庫恩-塔克條件]假設目標函式 及約束函式 皆為凸函式,而 是一仿射函式,假設有一可行點,如果有常數 及 令到
卡羅需-庫恩-塔克條件[卡羅需-庫恩-塔克條件]
卡羅需-庫恩-塔克條件[卡羅需-庫恩-塔克條件]
卡羅需-庫恩-塔克條件[卡羅需-庫恩-塔克條件]那么 這點是一全局極小值。
