歷史
克拉(Ct),英文carat,通常縮寫成ct,從1907年國際商定為寶石計量單位開始使用,是珠玉、鑽石等寶石的質量單位,和貴金屬的純度比例。評估鑽石的國際標準4C。4C是指 顏色 (colour)、 淨度 (clarity)、重量 (carat) 及切工(cut)。
克拉一詞,源自希臘語中的克拉「keration」,指長角豆樹(或稻子豆carobseed),是一種從東亞洲廣泛普及到中東的植物。由於其果子被稱為具有近乎一致的重量,且鑽石的重量是4c中最容易度量的特徵,因而早期長角豆樹就被用作珠寶和貴金屬的重量單位。一克拉即等於一粒小角樹種子的重量。
1983年,成都地質學院(現成都理工大學)陶正章先生進行了具體研究,證實克拉作為重量單位起源於地中海地區角豆樹的種子---稻子豆,這種樹種重量多在200毫克左右,與有人所說的阿比西尼亞刺槐、布魯斯刺桐以及槐樹豆的重量無關。直到20世紀初克拉重量才經標準化。
1克拉(ct)= 200毫克(mg)= 0.2克(g)
1克拉又可分為100分,以用作計算較為細小的寶石。因為鑽石的密度基本上相同,因此越重的鑽石體積越大。越大的鑽石越稀有,每克拉的價值亦越高。
公制克拉單位,即一克拉相等於200毫克,於1907年起被採用。在此之前,一克拉等於205.3毫克,即0.2053克。
計量
1克拉=200毫克=0.2克。舊寶石書中一克拉約205.3毫克,如果換算成現定克拉,則一克拉要乘1.0265,這裡只是大致說,因為舊時各國或地區的克拉值不盡相同。
重量在1克拉以下的鑽石通常也用“分”(point)作為計量單位,1克拉=100分。在鑽石的證書上,鑽石的重量都精確到小數點後的第三位。
IGI使用精確度為 0.00001 克拉的電子天平以稱得精確的鑽石重量,該鑽石重量記錄在鑽石鑑定報告中並精確到小數點後兩位。因此一顆25分的鑽石重0.25克拉。同等品質的鑽石,重量越大越珍貴。
計算公式
卡拉[寶石重量單位]
卡拉[寶石重量單位]即:
卡拉[寶石重量單位]
卡拉[寶石重量單位]
卡拉[寶石重量單位]其中為開數,為貴金屬重量,為總重量。
純度
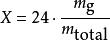
貴金屬(金、銀、鉑等)的純度,能以當中“貴”的成份與總量作重量比例,總量為24。以金為例,純金為24K;18K即重量的18/24是金,其餘6/24是合金用金屬。
X=24Mg/M,又可被理解為:X/24=Mg/M
X 為卡數, Mg 為貴金屬重量,M為總重量。
附:質量單位表
公制 : 噸 | 公擔 | 公衡 | 千克 | 公兩 | 公錢 | 克 | 毫克 | 微克 | 奈克
台制 : 斤 | 兩
市制 : 擔 | 斤 | 兩 | 分
英制 : 噸 | 英石 | 磅 | 盎司
東亞古制: 石/擔 | 斤 | 兩 | 錢 | 分(換算另見度量衡)
專屬單位: 克拉 | 原子量
價格
鑽戒的價格按克拉計算。一般0.2克拉賣4000元左右;0.3克拉賣7000元左右,越大越貴。美麗的鑽石要看其純淨度,有無裂痕,裂痕多少,色澤,切割等,價位與以上幾點都有關聯!純淨度,光澤,重量,大小,顏色(越純淨越好),做工是否細膩,未打磨的一般看不出來是鑽石。如果是工藝品還要看品牌,知名度高的好。
需要注意的是:
這顆傳奇巨鑽重達76.02克拉【資料圖片】1.鑽石的等級越高,重量對價格的影響越大。
2.對臨界重量的鑽石尤其明顯。如:30分,40分,50分,1克拉等。
3.小於0.2克拉國家標準不分級。0.2到1克拉既可按裸鑽分級,也可按鑲嵌鑽石分級,大於1克拉的鑽石必須按照裸鑽分級標準進行4C詳細分級。
一枚精美的鑽戒印證甜蜜的愛情。既然鑽戒是愛人之間的首選信物,那么究竟送什麼樣的鑽戒才合適呢?
一般講,選50分以下的鑽石鑲嵌的戒指比較適合,既能表達愛意又能被一般收入階層的人士接受,三四十分的單顆美鑽鑽戒是白領階層的通常選擇。一些碎鑽鑲成的戒指,因其精巧的設計也受到一部人的喜愛。如果經濟條件允許的話,選50分以上的鑽飾更好,因為50分以上的鑽石已經具備了相當的保值、增值能力,有一定的投資價值。
提醒您注意的是,您在注重鑽石重量的同時,一定要注意鑽石的色澤、淨度、切工,即綜合考慮"4c"標準。重量大、切工好(有著璀璨光芒的)、純淨瑕疵少、色澤優白的鑽石才是好鑽石。購買30分以上的鑽石首飾,一定別忘要求商家出示國家級檢測部門的鑑定證書。另外,建議在購買鑽戒時,最好將能與之相配套的耳釘、吊墜一併購買,以免首飾搭配不當留下遺憾。
同樣,女性送給男友一枚鑽戒作為信物,也非常恰當。一般,以鑲碎鑽的鉑金素圈型鑽戒為宜,簡潔、大方,既華美又不張揚,恰如其分地表明了擁有者不俗的品位。
![卡拉[寶石重量單位] 卡拉[寶石重量單位]](/img/f/b85/nBnauM3X2UjM2kTMzYjN2IDN0UTMyITNykTO0EDMwAjMwUzL2YzLxYzLt92YucmbvRWdo5Cd0FmLxE2LvoDc0RHa.jpg)
