數學表述
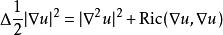
設M和N為黎曼流形,並令u:M→N為一個調和映射。 設du表示的u的(向前)導數,∇為梯度,Δ為拉普拉斯–貝爾特拉米運算元,Riem為N上的黎曼曲率張量,Ric為M上的里奇曲率張量,則有
博赫納恆等式博赫納公式
博赫納恆等式在微分幾何中,博赫納公式是將黎曼流形 上的調和函式與里奇曲率張量聯繫在一起的公式。它以美國數學家所羅門·博赫納的名字命名。
博赫納公式表述
博赫納恆等式
博赫納恆等式
博赫納恆等式
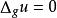
博赫納恆等式具體地說,如果 是一個調和函式(即 ,其中 是關於度規 的拉普拉斯運算元),則
博赫納恆等式,
博赫納恆等式
博赫納恆等式其中 是{\displaystyle u}關於 的梯度。博赫納使用這一公式來證明博赫納消沒定理。
