介紹
半導體光電化學semiconductorphotoelectrochemistry
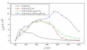
導電率在金屬與絕緣體之間的物質稱為半導體(如Si,GaAsV,InP,GaP,CdS,ZnO,TiO2以及SiC等)。它與金屬之間的主要差別在於:載流子的濃度相差懸殊以及半導體中電極插入含有氧化還原電對的電解質溶液達到平衡時,在半導體/溶液界面形成雙電層,它與金屬/電解質溶液界面的雙電層結構有很大不同。在光照條件下,半導體電極/電解質溶液的界面電荷分布和雙電層性質都會發生變化,因此半導體光電化學即是研究在光的作用下,半導體電極/電解質溶液的界面雙電層結構和因吸收光使電子處於激發態而產生的電荷傳遞過程的學科。
半導體光電化學內容描述
具有代表性的有:半導體光電化學過程,半導體光催化過程,光激發後粒子的電荷遷移過程,光伽伐尼過程,電化學發光過程和光合成模擬過程。它的光源選擇取決於照射對象光吸收的靈敏度,可以有高壓水銀燈、鎢燈、鹵素燈和各種雷射燈等。

