計算公式
對於一個給定的體系,基床反力係數和彈簧常數的關係為:
動基床反力法式中彈簧常數k為基床反力係數k′(或引起單位位移所需的壓力)與基礎面積A的乘積。所以,如果能獲得有關作用荷載與位移的試驗資料,就可算出k值,並從上式求出k′。
動基床反力法根據載荷試驗和基礎的現場試驗資料,可以確定機器基礎的k值。巴爾坎(1962)曾引用了大量野外試驗資料,證明動彈簧常數實質上等於靜反覆載荷試驗中荷載增量與變形增量(或力矩增量與轉角增量)之比。他把從基礎塊上的動力試驗所測得的共振頻率與計算所得的無阻尼固有頻率進行了比較。計算中採用了基礎塊加機器的總質量以及從同一基礎的靜反覆載荷試驗所測出的k值。根據在砂土、粘土或黃土上,基礎面積從5~161 。所得的15個試驗數據,他發現實測頻率平均為計算頻率的97%,而極限值從85%到121%。
相關概念
巴爾坎方法
巴爾坎方法的關鍵是利用靜反覆載荷試驗。此外, “恆載"和“活荷載”的數值應與預計作用在實際基礎上的數值相近,這一點也是重要的。因為預期的振動很小,所以不容易從模型基礎或原型基礎中獲得可靠的荷載—變形資料。 這些測試通常要用專門的儀器, 並在做試驗時特別細心。
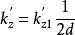
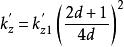
從模型基礎試驗得到野外試驗數據之後,下一步工作就是把這些資料外推到原型尺寸的基礎上去。太沙基(1955)和其他人有關靜荷載下選擇基床反力係數的論述,也適用於動力機器基礎的問題中。太沙基(1955)給出了外插試驗數據的建議方法。對於豎向振動,它們可表示如下:
動基床反力法對粘性土:
動基床反力法對無粘性圖:
式中:
2d:梁寬或基礎底面的短邊。
動基床反力法:基礎短邊為2d時的豎向基床反力係數;
動基床反力法:基礎短邊為1時的豎向基床反力係數。
動基床反力法
動基床反力法
動基床反力法因此,試驗數據提供了資料以確定單位尺寸的 值,再套用上式把 調整為原型尺寸基礎的基床反力係數 。這種方法只有當模型基礎和原型基礎在相同的土中都產生同等的應力時オ是合理的。

