物理意義
努塞爾數(Nusselt number),是流體力學中的一個無量綱數,以德國物理學家威廉·努塞爾特(Wilhelm Nusselt)的名字命名,以紀念其對此方面研究的突破。努賽爾數的物理意義為是表示對流換熱強烈程度的一個準數, 又表示流體層流底層的導熱阻力與對流傳熱阻力的比。
計算公式
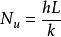
努塞爾數計算關係式是:
L:為傳熱面的幾何特徵長度,垂直於傳熱面方向的尺度,單位是m;如熱管的直徑,傳熱層的厚度等。
h:流體的對流傳熱係數,單位為W/(m^2·K);
k:靜止流體的導熱係數,單位是W/(m·K) 。

