釋義
功率因數調整電費指根據用戶功率因數的水平高低減收或增收的電費。
功率因素
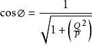
所謂功率因數就是有功功率與視在功率的比值,通俗地講就是用電設備的實際出力與用電設備的容量的比值,又簡稱為力率。
無功
無功是相對有功而言的[P=UICOS(90)=0],一般來說它是電感性設備建立磁場實現能量交換所需要的一個電源,消耗無功電能的電氣設備主要是電感性設備(例如電動機、及帶鎮流器的照明電氣等),電阻性設備(如電爐等)不消耗無功,電力電容器可以作為電感性設備的無功電源。
不利因素
1.降低發電、供電設備能力,降低用電設備的利用率,增大設備投資。
2.增大系統電壓損失,容易造成電壓波動,電能質量嚴重下降,用電設備壽命受影響,企業產品質量下降。
3.大大增加電能輸送過程的損耗。(因設備出力不變的情況下,功率因數越低所需電流越大,電能損失自然增大,P=UICOSφ)
4.增加用戶電費費用。
執行標準
功率因數調整電費依據和標準是1983年原水利電力部及國家物價局聯合下發的檔案《功率因數調整電費辦法》。
功率因數標準0.90,適用於160千伏安以上的高壓供電工業用戶(包括社隊工業用戶)、裝有帶負荷調整電壓裝置的高壓供電電力用戶和3200千伏安及以上的高壓供電電力排灌站;
功率因數標準0.85,適用於100千伏安(千瓦)及以上的其他工業用戶(包括社隊工業用戶),100千伏安(千瓦)及以上的非工業用戶和100千伏安(千瓦)及以上的電力排灌站;
功率因數標準0.80,適用於100千伏安(千瓦)及以上的農業用戶和躉售用戶,但大工業用戶未劃由電業直接管理的躉售用戶,功率因數標準應為0.85。
計算方法
計算公式:
功率因數調整電費首先根據用戶當月的功率因數(或者通過該用戶所消耗無功電量與有功電量的比值查表得出),然後對照國家頒發的《力率調整電費增減查對表》,查出用戶當月電費總額增減百分數,正為增加電費,負為扣減電費。
功率因數調整電費= 總電費 × 增減百分數。
計算實例
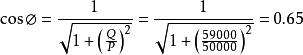
某工業用戶變壓器容量為S9-200kVA,2008年4月份所消耗有功電量為50000kW·h,無功電量為59000kW·h,電價為0.6元/kW·h。試計算1、該用戶當月的功率因數及力率調整電費?2、如該用戶有功用電不變的情況下,經過電容補償後,功率因數提高到0.95,計算該用戶的功率因數調整電費為多少?
解:(一)1.先求當月用戶的功率因數:
功率因數調整電費也可以通過查無功與有功的比值59000/50000=1.18查表得功率因數為0.65。
2.對照力率調整電費查對表得出調整百分數為+15%,即:
當月該用戶的力率調整電費=50000×0.6×15%=4500元。
(二)功率因數為0.95時,查表得出調整百分數為-0.75,即該用戶的力率調整電費為:
50000×0.6×-0.75%= -225元(即獎勵電費)。

