定義
在數學中,劉維爾方程(Liouville equation),又稱劉維 - 布拉-蓋爾芬德方程(Liouville-Bratu-Gelfandequation)是一個非線性特徵值泊松方程,以數學家約瑟夫·利維爾(Joseph Liouville)、布拉圖和以色列格爾芬德命名。方程式為:▽2ψ+λeψ=0。
此方程式出現在弗蘭克 - Kamenetskii理論的熱失控中以及錢德拉塞卡方程的天體物理學中。 這個方程還描述了發光線周圍的空間電荷,並描述了行星狀星雲。
劉維爾方程解
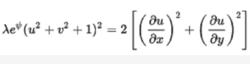
在笛卡爾坐標(x,y)的二維平面中,約瑟夫·柳維爾在1853年提出了一個方程 ,
劉維爾方程
劉維爾方程其中f(z)= u + iv是z = x + iy的任意分析函式。 1915年, Walker通過假設f(z)的形式找到了一個解。 如果,那么Walker的解
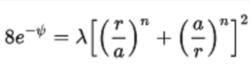
劉維爾方程其中a是一些有限的半徑。 這個解在任何n趨向的無窮遠處衰減,但在n <1的原點處變為無窮大,在n = 1的起始處變得有限。 沃克還在1915年的文章中提出了兩個解。
徑向對稱形式
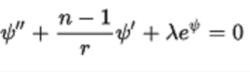
如果要研究的系統是徑向對稱的,則n維度中的等式變為
劉維爾方程其中r是與原點的距離。 有邊界條件
劉維爾方程對於λ≥0,該解僅適用於[0,λ],其中λ是重要的參數。重要的參數是λ=0.88, n = 1,λ= 2,n = 2。對於n = 1, 2,存在兩個解,對於3≤n≤9,許多解,存在於圍繞λ=2(n-2)擺動的解。對於n≥10,解是唯一的
