原理簡介
荷蘭物理學家塞曼在1896年發現把產生光譜的光源置於足夠強的磁場中,磁場作用於發光體使光譜發生變化,一條譜線即會分裂成幾條偏振化的譜線,這種現象稱為塞曼效應。
塞曼效應是法拉第磁旋光效應之後發現的又一個磁光效應。這個現象的發現是對光的電磁理論的有力支持,證實了原子具有磁矩和空間取向量子化,使人們對物質光譜、原子、分子有更多了解,特別是由於及時得到洛侖茲的理論解釋,更受到人們的重視,被譽為繼X射線之後物理學最重要的發現之一。
1902年,塞曼與洛侖茲因這一發現共同獲得了諾貝爾物理學獎(以表彰他們研究磁場對光的效應所作的特殊貢獻)。
詳細內容
塞曼效應實驗儀塞曼效應,英文:Zeeman effect,是1896年由荷蘭物理學家塞曼發現的。他發現,原子光譜線在外磁場發生了分裂。隨後洛侖茲在理論上解釋了譜線分裂成3條的原因。這種現象稱為“塞曼效應”。進一步的研究發現,很多原子的光譜在磁場中的分裂情況非常複雜,稱為反常塞曼效應。完整解釋塞曼效應需要用到量子力學,電子的軌道磁矩和自旋磁矩耦合成總磁矩,並且空間取向是量子化的,磁場作用下的附加能量不同,引起能級分裂。在外磁場中,總自旋為零的原子表現出正常塞曼效應,總自旋不為零的原子表現出反常塞曼效應。塞曼效應是繼1845年法拉第效應和1875年克爾效應之後發現的第三個磁場對光有影響的實例。塞曼效應證實了原子磁矩的空間量子化,為研究原子結構提供了重要途徑,被認為是19世紀末20世紀初物理學最重要的發現之一。利用塞曼效應可以測量電子的荷質比。在天體物理中,塞曼效應可以用來測量天體的磁場。
理論發展
1896年,荷蘭物理學家塞曼使用半徑10英尺的凹形羅蘭光柵觀察磁場中的鈉火焰的光譜,他發現鈉的D譜線似乎出現了加寬的現象。這種加寬現象實際是譜線發生了分裂。隨後不久,塞曼的老師、荷蘭物理學家洛侖茲套用經典電磁理論對這種現象進行了解釋。他認為,由於電子存在軌道磁矩,並且磁矩方向在空間的取向是量子化的,因此在磁場作用下能級發生分裂,譜線分裂成間隔相等的3條譜線。塞曼和洛侖茲因為這一發現共同獲得了1902年的諾貝爾物理學獎。
塞曼效應的發現者——荷蘭物理學家塞曼。1897年12月,普雷斯頓(T.supeston)報告稱,在很多實驗中觀察到光譜線有時並非分裂成3條,間隔也不盡相同,人們把這種現象叫做為反常塞曼效應,將塞曼原來發現的現象叫做正常塞曼效應。反常塞曼效應的機制在其後二十餘年時間裡一直沒能得到很好的解釋,困擾了一大批物理學家。1925年,兩名荷蘭學生烏侖貝克(G.E.Uhlenbeck,1900--1974)和古茲米特(S.A.Goudsmit,1902--1978)提出了電子自旋假設,很好地解釋了反常塞曼效應。
套用正常塞曼效應測量譜線分裂的頻率間隔可以測出電子的荷質比。由此計算得到的荷質比數值與約瑟夫·湯姆生在陰極射線偏轉實驗中測得的電子荷質比數量級是相同的,二者互相印證,進一步證實了電子的存在。
塞曼效應也可以用來測量天體的磁場。1908年美國天文學家海爾等人在威爾遜山天文台利用塞曼效應,首次測量到了太陽黑子的磁場。
1912年,帕邢和拜克(E.E.A.Back)發現在極強磁場中,反常塞曼效應又表現為三重分裂,叫做帕邢-拜克效應。這些現象都無法從理論上進行解釋,此後二十多年一直是物理學界的一件疑案。正如不相容原理的發現者泡利後來回憶的那樣:“這不正常的分裂,一方面有漂亮而簡單的規律,顯得富有成果;另一方面又是那樣難於理解,使我感覺簡直無從下手。"
1921年,德國杜賓根大學教授朗德(Landé)發表題為:《論反常塞曼效應》的論文,他引進一因子g代表原子能級在磁場作用下的能量改變比值,這一因子只與能級的量子數有關。
1925年,烏倫貝克與哥德斯密特"為了解釋塞曼效應和複雜譜線"提出了電子自旋的概念。1926年,海森伯和約旦引進自旋S,從量子力學對反常塞曼效應作出了正確的計算。由此可見,塞曼效應的研究推動了量子理論的發展,在物理學發展史中占有重要地位。
偏振特性
塞曼效應
塞曼效應
塞曼效應
塞曼效應對於Δm=+1,原子在磁場方向的角動量減少了一個,由於原子和光子的角動量之和守恆,光子具有與磁場方向相同的角動量,方向和電矢量旋轉方向構成右手螺旋,稱之為σ+偏振,為右旋偏振光。反之,對於Δm=-1,原子在磁場方向的角動量增加一個,光子具有與磁場方向相反角動量,方向和電矢量旋轉方向構成左手螺旋,稱之為σ-偏振,為左旋偏振光。對於Δm=0,原子在磁場方向角動量不變,稱之為π偏振。如果沿磁場方向觀察,只能觀察到σ+和σ-譜線左旋偏振光和右旋偏振光,觀察不到π偏振譜線。如果在垂直於磁場方向觀察,能夠觀察到原譜線分裂成三條:中間一條是π譜線,為線偏振光,偏振方向和磁場方向平行,σ+與σ-線分居兩側,同樣是線偏振光,偏振方向和磁場方向垂直。
原理
塞曼效應證實了原子具有磁矩和空間取向量子化的現象,至今塞曼效應仍是研究能級結構的重要方法之一。正常塞曼效應可用經典理論給予很好的解釋;而反常塞曼效應卻不能用經典理論解釋,只有用量子理論才能得到滿意的解釋。
塞曼效應塞曼效應是物理學史上一個著名的實驗。荷蘭物理學家塞曼在1896年發現:把產生光譜的光源置於足夠強的磁場中,磁場作用於發光體使光譜由一條譜線分裂成幾條偏振化譜線的現象稱為塞曼效應。若一條譜線分裂成三條,裂距按波數計算正好等於一個洛侖茲單位()的現象稱為正常塞曼效應;而分裂成更多條且裂距大於或小於一個洛侖茲單位的現象稱為反常塞曼效應。
塞曼效應的產生是原子磁矩和外加磁場作用的結果。根據原子理論,原子中的電子既作軌道運動又作自旋運動。原子的總軌道磁矩μ與總軌道角動量p的關係為:
塞曼效應原子的總自旋磁矩μ與總自旋角動量P的關係為:
塞曼效應
塞曼效應
塞曼效應其中:m為電子質量,L為軌道角動量量子數,S為自旋量子數,為普朗克常數除以2π,即(寫法是在小寫的h上半部分打一橫槓)。
圖1 原子磁矩與角動量的矢量模型原子的軌道角動量和自旋角動量合成為原子的總角動量p,原子的軌道磁矩和自旋磁矩合成為原子的總磁矩μ(見圖1)。由於μ/p的值不同於μ/p值,總磁矩矢量μ不在總角動量p的延長線上,而是繞p進動。由於總磁矩在垂直於p方向的分量μ與磁場的作用對時間的平均效果為零,所以只有平行於p的分量μ是有效的。μ稱為原子的有效磁矩,大小由下式確定:
塞曼效應其中,J為總角動量量子數,g為朗德因子。對於LS耦合,存在
塞曼效應
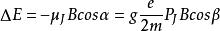
圖2 μJ和pJ的進動當原子處在外磁場中的時候,在力矩N=μ×B的作用下,原子總角動量p和磁矩μ繞磁矩方向進動(見圖2)。原子在磁場中的附加能量ΔE為:
塞曼效應其中,β為p與B的夾角。角動量在磁場中取向是量子化的,即:
塞曼效應其中,M為磁量子數。因此,
可見,附加能量不僅與外磁場B有關係,還與朗德因子g有關。磁量子數M共有2J+1個值,因此原子在外磁場中,原來的一個能級將分裂成2J+1個子能級。
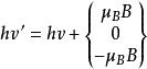
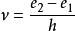
未加磁場時,能級E和E之間的躍遷產生的光譜線頻率ν為:
塞曼效應(1)外加磁場時,分裂後的譜線頻率ν’為:
塞曼效應(2)分裂後的譜線與原來譜線的頻率差Δν’為:
塞曼效應
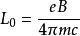
塞曼效應(3)定義為洛侖茲單位。
用波數間距Δγ表示為:
塞曼效應(4)能級之間的躍遷必須滿足選擇定則,磁量子數M的選擇定則為ΔM=M-M=0, ±1;而且當J=J時,M=0 →M=0的躍遷除外。
當ΔM=0時,產生π線,沿垂直於磁場方向觀察時,π線為光振動方向平行於磁場的線偏振光,沿平行於磁場方向觀察時,光強度為零,觀察不到(見圖3)。
當ΔM=±1時,產生σ線,迎著磁場方向觀察時,σ線為圓偏振光,ΔM=+1時為左旋圓偏振光,ΔM=-1時為右旋圓偏振光。沿垂直於磁場方向觀察時,σ線為線偏振光,其電矢量與磁場垂直(見圖3)。
只有自旋是單態,即總自旋為0譜線才表現出正常塞曼效應。非單態譜線在磁場中表現出反常塞曼效應,譜線分裂條數不一定是三條,間隔也不一定為一個洛侖茲單位。
例如鈉原子的589.6nm和589.0nm的譜線,在外磁場中的分裂就是反常塞曼效應。589.6nm的譜線為 P態向 S態躍遷產生的譜線。當外磁場不太強的時候,在外磁場作用之下, S態能級分裂成2個子能級, P態也分裂成2個子能級,但由於兩個態朗德因子不同,譜線分裂成4條,中間兩條為π線,外側兩條分別是σ+線與σ-線。589.0nm的譜線為 P態向 S態躍遷產生的, P態能級在外磁場不太強時分裂成4個子能級,因此589.6nm的譜線分裂成六條。中間兩條π線,外側兩邊各2條σ線。
理論解釋
不加外磁場時,原子在兩個能級E和E(E<E)之間躍遷的能量差為ΔE = hv = E - E
原子核的磁矩比電子磁矩小大約三個數量級。如果只考慮電子的磁矩對原子總磁矩的貢獻,那么磁場引起的附加能量為ΔU = -μB = -μB = mgμB
這裡將磁感應強度B的方向取為z軸方向,μ是磁矩在z方向上的投影。m是電子總角動量J在z方向投影的量子數,可以取-J,-J+1,…J-1,J共2J+1個值,g是電子總角動量的朗德因子,μ是玻爾磁子。
這樣,原子的每一個能級分裂成若干分立的能級,兩個能級之間躍遷的能量差為ΔE' = hv' = E' - E'= E- E + (mg- mg)μB
對於自旋為零的體系有g=g=1。由於躍遷的選擇定則Δm = m - m = 0,±1,頻率ν只有三個數值:
塞曼效應
塞曼效應
塞曼效應
塞曼效應因此一條頻率為ν的譜線在外磁場中分裂成三條譜線,相互之間頻率間隔相等,為。洛侖茲套用經典電磁理論解釋了正常塞曼效應,計算出了這個頻率間隔。通常把這個能量差的波數間隔稱為洛侖茲單位,符號。
鎘的643.847nm( D態向 P態的躍遷)譜線在磁場不太強時就是表現出正常塞曼效應。這兩個態的g都等於1,在外磁場中, D分裂成5個子能級, P分裂成3個子能級,由於選擇定則,這些子能級之間有9種可能的躍遷,有3種可能的能量差值,所以譜線分裂成3條。
正常塞曼效應反常效應
只有自旋為單態,即總自旋為0的譜線才表現出正常塞曼效應。非單態的譜線在磁場中表現出反常塞曼效應,譜線分裂條數不一定是3條,間隔也不一定是一個洛侖茲單位。
鈉D線在磁場中的反常塞曼效應。例如鈉原子的589.6nm和589.0nm的譜線,在外磁場中的分裂就是反常塞曼效應。589.6nm的譜線是 P態向 S態躍遷產生的譜線。當外磁場不太強時,在外磁場作用下, S態能級分裂成兩個子能級, P態也分裂成兩個子能級,但由於兩個態的朗德因子不同,
鈉D線在磁場中的反常塞曼效應。
譜線分裂成4條,中間兩條是π線,外側兩條分別是σ+線和σ-線。589.0nm的譜線是 P態向 S態躍遷產生的, P態能級在外磁場不太強時分裂成四個子能級,因此589.0nm的譜線分裂成6條。中間兩條π線,外側兩邊各兩條σ線。
逆效應
實驗中不僅可以觀察到光譜發射線的塞曼效應,吸收線也會發生塞曼效應,這被稱為逆塞曼效應。
破壞
只有當外磁場的強度比較弱,不足以破壞自旋-軌道耦合時才會出現反常塞曼效應,這時自旋角動量和軌道角動量分別圍繞總角動量作快速進動,總角動量繞外磁場作慢速進動。當磁場很強時,自旋角動量和軌道角動量不再合成總角動量,而是分別圍繞外磁場進動。這時反常塞曼效應被帕邢-巴克效應所取代,其效果是恢復到正常塞曼效應,即譜線分裂成3條,相互之間間隔一個洛倫茲單位。這裡磁場的“強”與“弱”是相對的,例如3T的磁場對於鈉589.6nm和589.0nm的雙線是弱磁場,不會引起帕邢-巴克效應,但對於鋰的670.785nm和670.800nm的雙線是強磁場,足夠觀察到帕邢-巴克效應
實際用途
1. 由塞曼效應實驗結果去確定原子的總角動量量子數J值和朗德因子g值,進而去確定原子總軌道角動量量子數L和總自旋量子數S的數值。
2. 由物質的塞曼效應分析物質的元素組成。

