負載效應(loading effect)可以分為3種:巨觀負載效應(macroloading)、微觀負載效應(microloading)以及與與刻蝕深寬比相關的負載效應(aspect ratio dependent etching,ARDE) 三種效應圖解說明如圖1所示。
所謂巨觀負載效應,是因刻蝕總面積的增加而導致的整體刻蝕速率下降,如圖1(a)所示。當刻蝕面積僅占樣品總體面積1%的情況字下,矽刻蝕最高達到50μm/min;而當刻蝕面積占樣品總體面積20%時,最高刻蝕速率只能達到30μm/min。這使刻蝕速率的控制變得十分困難,因為同樣的刻蝕工藝參數對不同設計圖形可能會得到不同的刻蝕深度。這也提示,在刻蝕每一種不同設計圖案之前,必須首先通過實驗摸索出相應的最佳刻蝕參數。
所謂微觀負載效應,是指在同一設計圖案內圖形密度的不同導致刻蝕速率的不同,如圖1(b)所示。在圖形密集的區域反應離子的有限成分消耗得快,造成供給失衡,刻蝕速率下降。效果是圖形密集區域刻蝕深度小於圖形稀疏區域,造成樣品整體刻蝕深度的不均勻分布。
與刻蝕深寬比相關的負載效應(ARDE)主要表現在同一襯底上不同尺寸的圖形刻蝕深度不同。寬的圖形刻蝕深,窄的圖形刻蝕淺,如圖1(c)所示。圖2是實驗結果展示的ARDE效應,圖形寬度與相應的刻蝕深度測量值列於表1中。這是因為高深寬比結構隨著刻蝕深度的增加,刻蝕表面的有效反應成分的更新越來越困難。因為為了使刻蝕順利進行,刻蝕生成的揮發成分必須從深槽或深孔中被排出,並使充足的有效反應成分進入深槽或深孔以補充消耗掉的部分。所以與刻蝕深寬比相關的負載效應還被稱為RIE滯後效應(RIE lag)或孔徑效應(aperture effect)。還有一些其他機理被用來解釋ARDE現象 。
刻蝕負載效應圖1 反應離子深刻蝕中的負載效應
刻蝕負載效應圖2 ARDE效應的實驗結果
表1 測量圖2中刻蝕結構的刻蝕深度及其深寬比
| 圖形寬度/nm | 103 | 166 | 221 | 286 | 364 | 427 | 489 | 540 | 591 |
| 刻蝕深度/nm | 1908 | 3586 | 4437 | 5957 | 5632 | 6092 | 6414 | 6736 | 6966 |
| 深寬比 | 19 | 22 | 20 | 18 | 15 | 14 | 13 | 12 | 12 |
均勻性的一些問題是因為刻蝕速率和刻蝕剖面與圖形尺寸和密度有關而產生的。刻蝕速率在小視窗圖形中比較慢,甚至在具有高深寬比的小尺寸圖形刻蝕居然停止。為了提高均勻性,必須把矽片表面的ARDE效應減至最小 。
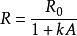
負載效應可以用下面的公式來描述
刻蝕負載效應其中,R是空腔刻蝕速率,A是待刻蝕薄膜暴露的面積,k是一個常數,通常可以通過固定反應器壓力和提高刻蝕氣體的流量來減少k值 。

