釋義
用於刮板輸送機,具有兩種 速度的交流異步變速電動機。可通過改變電動機定子 繞組的極數實現調速。
工作原理
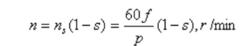
三相交流異步電動機定子對稱三相繞 組,通以對稱三相交流電流後,產生旋轉磁場n,它與 電源頻率f、極對數p之間關係為:
n=60f/p,
電機轉速為:
刮板輸送機雙速電機式中s為轉差率,%。
當電源頻率一定時,改變繞組的極對數p就可改 變n,也改變了轉子轉速n;極對數愈多,n愈小。根 據變極調速理論,定子繞組極數變換時,轉子也要相應 改變極數,因為旋轉磁場拖動力矩的產生,極數的改變 必須在定子和轉子上同時進行。鼠籠型轉子的極數能 自動跟隨定子極數變換,它的轉子能適應定子繞組的 磁勢分布,因此變極調速電機一般為鼠籠型。
分類
定子繞組可分為單繞組和雙繞組。單繞組 是定子上只有一套繞組,改變其不同的接線方法,可得 到不同的極數,通常稱單繞組變極調速;定子上有兩套 不同極對數的獨立繞組,通常稱雙繞組變極調 速。
根據繞組連線方式和排列方案的不同,變極調速 電動機在不同極數時,轉速、轉矩、輸出功率也不相同, 一般有恆功率調速、恆轉矩調速和介乎二者之間的可 變轉矩調速三種情況,從而獲得三種不同的機械特性。 刮板輸送機所用的雙速電機要求低速時具有較大的起 動轉矩、較小的起動電流,起動後隨著負荷逐漸減輕, 然後轉換至高速運行。對低速繞組、高速繞組不同的技 術指標,選用可變轉矩調速方案。八極低速用於起動、 四極高速為運行繞組。根據刮板輸送機運行工況,電機 通常採用雙繞組方案,即定子具有兩套相互獨立的低 速、高速繞組的雙繞組變極雙速電機。
基本結構
雙速電機為礦用隔爆型。電機的冷卻 方式分風冷、水冷兩種;電機絕緣一般為F或H級;電 機額定電壓為380V、660V、1140V;同步轉速為1500/ 750r/min; 電機的低、高速均採用連續工作制S1;兩 個動力線入口分別由電纜接通低速、高速繞組。
簡史
德國於1966年研製成功礦用雙速電機,用 在刨煤機和工作面刮板輸送機驅動上。英國1978年研 制的雙速電機,主要用在刮板輸送機上,近年來發展迅 速,最大容量可達525kW。中國從1983年開始研製礦 用雙速電機,目前從22~400kW基本成系列。

