初次臨界試驗,是在熱態額定工況下,進行首次物理啟動,達到臨界,實現反應堆的自持鏈式裂變反應。
試驗步驟
壓水堆的初次臨界是通過從堆內相繼提升各組控制棒組件,並交叉地稀釋冷卻劑中的硼濃度,直至反應堆的鏈式裂變反應能夠自持來達到的。具體步驟如下所述。
(1)提升控制棒組件(以A運行模式為例) 在控制棒組件全插入堆芯的初始工況下按規定依次提升腔制棒組件中的停堆棒組SA、SB,調節棒組A、B、C,然後把調節棒組D(又稱主調節棒組)提升到相當於積分價值約為100pcm插入位置時為止,在提棒過程中以及提棒後,應密切觀察核測量系統源量程測量信道的中子計數。並且,根據中子通量的變化情況,隨時調整控制棒組件的提升速度,每提升若干步(步數由反應性的每次增加量來確定),應等待一段時間,測量中子計數,作棒位和計數率倒數曲線,並從曲線外推來預計I臨界值,在確保全全的前提下,再進行第二步操作。
(2)減硼向臨界接近 減硼是通過化學和容積控制系統的上充泵,將補給水以規定的流量注入堆芯,並將相同數量的冷卻劑排向硼回收系統實現的。按物理設計要求,減硼速率規定為因硼稀釋而引起的反應性增加量每小時不超過1000pcm。在減硼過程中,每隔一刻鐘停止稀釋,對一迴路系統和穩壓器作取樣分析。由於穩壓器硼濃度的變化滯後於一迴路系統冷卻劑硼濃度的變化,為了促使混合均勻,必須投入穩壓器的全部電加熱器,並打開噴霧器,使兩者之間的硼濃度差值小於20mg/kg;然後,測量中子計數率,直至反應堆的次臨界度約為50pcm為止。畫出中子計數率倒數作為冷卻劑系統所添加水量。
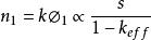
初次臨界試驗(3)次臨界下首次刻棒 在臨界試驗中,當反應堆處於接近臨界的次臨界狀態下,可用計數率外推法對控制棒組件作初刻度,以檢驗控制棒組件的性能。此時,由於堆內有中子源,如果刻度試驗開始時,反應堆的次臨界度為(1- )則探測器的中子計數率n1為:
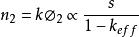
初次臨界試驗接著,把待刻度的控制棒組件如停堆棒組S1或S2插入堆芯,在同一探測器上測得的計數率n2為:
初次臨界試驗
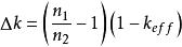
初次臨界試驗將n1與n2計算可得
式中:△k為所刻度控制棒組件的價值。
用這種方法刻度控制棒組件時,由於測量計數的誤差和控制棒組件插入時對中子通量的擾動等影響,刻度的結果比較粗糙,但可獲得各控制棒組件大致的反應性價值。
(4)提棒向超臨界過渡 減硼操作到反應堆次臨界度約為50pcm時,提升主調節棒組D,向超臨界過渡。這時,可能有下面兩種情況:
1)最後一次減硼操作,經充分混合後,系統已達臨界,這時,可通過微調主調節棒組D,以中子計數每分鐘增加10倍的速率,提升堆功率到零功率規定水平,然後,插入D棒到剛好使反應堆臨界的棒位;
2)減硼稀釋後,如果按規定速率提升D棒達到抽出極限,反應堆仍未臨界,則必須重新插入D棒,再次以每小時300pcm的恆定速率繼續減硼,重複上述操作步驟,直至出現正周期為止,然後,提升功率到零功率規定水平。
零功率物理試驗
進行低功率物理試驗時,如果功率水平過低,由於擾動或工況不穩定,核測量儀表中的噪聲信號將很顯著;如果功率水平過高,則由於燃料棒的溫度效應,不能得到良好的試驗結果。為此,必須通過測量來決定零功率物理試驗功率水平之上限。
初次臨界試驗試驗時,臨界狀態下,提起主調節棒組D,引入一個相當於周期為lOOs左右的正反應性,堆功率將上升,觀察核測量儀表,記錄表計上中子通量增長的情況,在所記錄的中子通量曲線上,如出現中子通量不按指數規律上升的趨勢時,則表明堆內開始產生了核加熱效應。因此,應該以比此點低一個數量級的通量水平,作為零功率物理試驗時的上限,零功率物理試驗的功率水平應在這個通量範圍以內。下圖表示一個大型壓水堆所測到的結果,功率水平在中間量程測量通道電流指示值是 A。
初次臨界試驗
