基本介紹
分斷式命題是一種複合命題,判定某類數學命題真假時使用的一種命題形式,由若干個命題組合而成的那個命題,其中這若干個命題的條件和結論一一對應互不相容、窮盡各種可能。如果一個分斷式命題是正確的,則它的逆命題也是正確的。如果一個命題具有下述形式:
分斷式命題並且A∨A∨…∨A和B∨B∨…∨B均為真命題,A∧A和B∧B(i≠j,i,j=1,2,…,n)恆為假命題,則這個命題稱為 分斷式命題,亦稱這個命題構成一個閉系統。
分斷式命題或者是將原命題與逆命題合併敘述,或者是把其中各個命題(或一部分命題)拆開來分條敘述。
舉例說明
【例1】在實係數方程ax²+bx+c=0(a≠0)的理論中,命題:
1.如果Δ=b²-4ac>0,則它有兩個不相等的實根;
2.如果Δ=b²-4ac=0,則它有兩個相等的實根;
3.如果Δ=b²-4ac<0,則它無實根。
該命題就是一個分斷式命題。
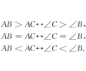
【例2】在△ABC中:
分斷式命題1.AB>AC ∠C>∠B;
分斷式命題2.AB=AC ∠C=∠B;
分斷式命題3.AB<AC ∠C<∠B
組合而成的一個命題就是一個分斷式命題。
其中包含了兩線段AB,AC之間所有可能的三種關係和兩角∠B,∠C之間相應的三種關係,條件與結論一一對應
分斷式命題正確的分斷式命題稱為配套定理。
【例3】定理“在同圓或等圓中,等弦距圓心等遠,不等弦距圓心不等遠,大者距離較近,小者距離較遠”,其中前提把兩弦的大小關係“等於”、 “大於”、“小於” 一一道盡;而結論把兩弦與圓心的遠近關係“等遠”、“較近” 、“較遠” 一一說完。而且這些關係又都是互不相容的,所以這個定理是分斷式命題。

