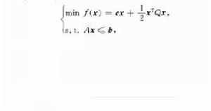
凸規劃對偶問題例如,若二次規劃問題的矩陣形式是
凸規劃對偶問題則其對偶問題是
凸規劃對偶問題(dual problem of convex pro-gramming)一類綜合的對偶問題.指線性規劃、帶凸性的非線性規劃和二次規劃的對偶問題的綜合形式.
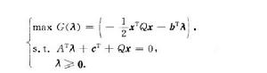
凸規劃對偶問題例如,若二次規劃問題的矩陣形式是
凸規劃對偶問題則其對偶問題是
《數學規劃》(Mathematical Programming)是一本由黃紅選編寫的教程,數學規劃學科的內容十分豐富,包括許多研究分支。 如:線性規劃、...
圖書簡介 目錄線性規劃問題又稱線性規劃,在數學中線性規劃(Linear Programming,簡稱LP)特指目標函式和約束條件皆為線性的最最佳化問題。
簡介 標準型 增廣矩陣 對偶 理論《單目標、多目標與整數規劃》是1999年清華大學出版社出版的圖書,作者是盧開澄。本書對單目標線性規劃、多目標線性規劃和整數規劃等問題的提出、各種解算方法...
內容介紹 作品目錄《凸最佳化理論》是2015年11月1日清華大學出版社出版的圖書,作者是(美)Dimitri P. Bertsekas。
內容簡介 出版信息 目錄非線性規劃是一種求解目標函式或約束條件中有一個或幾個非線性函式的最最佳化問題的方法。運籌學的一個重要分支。20世紀50年代初,庫哈(H.W.Kuhn) 和...
發展歷史 深入解析 套用範圍《研究生系列規劃教材·最最佳化理論與方法》是2008年國防工業出版社出版的圖書。本書內容包括最最佳化基礎、線性規劃、對偶線性規劃、無約束最最佳化方法、約束最佳化...
內容簡介 目錄《凸分析與最佳化》是2006年02月清華大學出版社出版的圖書,作者是伯特塞卡斯。 該書主要針對最最佳化問題介紹凸分析方法。
內容簡介 圖書目錄 前言 作者簡介《數學規劃基礎》是2012年北京航空航天大學出版社出版的圖書,作者是劉紅英。
內容介紹 目錄《數學規劃與組合最佳化》是2001年浙江大學出版社出版的圖書,作者是姚恩瑜、何勇、陳仕平。主要介紹了連續及離散最佳化的原理及方法。
內容簡介 目錄