定理內容
凱西定理
凱西定理
凱西定理
凱西定理
凱西定理
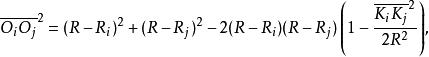
凱西定理設 是一個半徑為 的圓, 是(按此順序)位於內部的四個不相交的圓圈, 和它相切, 表示圓 外部共同點的長度,然後 :
凱西定理請注意,所有四個圓都減少到點情況下,這正是托勒密定理。
圖1.凱西定理證明
凱西定理
凱西定理
凱西定理
凱西定理
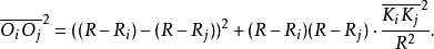
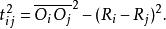
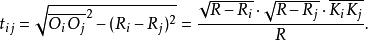
凱西定理半徑為 的圓 與圓 相切於點 ,用符號 表示圓的中心,畢達哥拉斯定理表示如下:
凱西定理
凱西定理
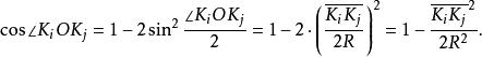
凱西定理用點 來表示長度 。由三角形 的餘弦定律,
凱西定理
凱西定理因為圓 相切:
凱西定理
凱西定理
凱西定理
凱西定理設 成為圓 上的一個點,根據三角形 的正弦定律:
凱西定理因此,
凱西定理代入上述公式:
凱西定理
凱西定理
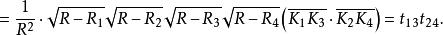
凱西定理最後,求得長度
凱西定理
凱西定理現在可以評估等式左側,藉助於原始托勒密定理套用於內切四邊形 :
凱西定理
凱西定理進一步概括
可以看出,四個圓圈不必位於大圓圈內。事實上,它們也可能與外界相切。在這種情況下,應做出以下改變:
凱西定理
凱西定理
凱西定理
凱西定理(1)如果都是從同一側切線(無論是在圓內還是在圓外),是外部公切線的長度;
凱西定理
凱西定理(2)如果從不同的側面切線,是內部公切線的長度。
凱西定理的放過來也成立,即,如果等式成立,則圓圈與公共圓相切。

