簡介
在數學中,一個 凱勒流形(Kähler manifold)是具有滿足一個可積性條件的酉結構(一個U( n)-結構)的流形。特別地,它是一個黎曼流形、複流形以及辛流形,這三個結構兩兩相容。
這個三位一體結構對應於將酉群表示為一個交集:
凱勒結構 若沒有任何可積性條件,類似的概念是一個殆埃爾米特流形。如果辛結構是可積的(但復結構不要求),則這個概念是殆凱勒流形;如果復結構是可積的(但辛結構不要求),則為埃爾米特流形。
凱勒流形以數學家埃里希·凱勒命名,在代數幾何中占有重要的地位:它們是復代數簇的一個微分幾何推廣。
定義
帶有一個埃爾米特度量的流形是殆埃爾米特流形;凱勒流形是帶有滿足一個可積性條件的埃爾米特度量的流形,它有多種等價的表述。
凱勒流形可以多種方法刻畫:它們通常定義了具有一個附加結構的複流形(或具有附加結構的辛流形,或具有附加結構的黎曼流形)。
凱勒結構
凱勒結構 可以將這三個結構之間的聯繫總結為,這裡 h是埃爾米特形式, g是黎曼度量, i是殆復結構,而是殆辛結構。
凱勒結構 複流形 M上一個凱勒度量是切叢上一個埃爾米特度量,滿足一個有多種等價刻畫的條件(最幾何的方式是由度量誘導的平行移動在切空間上給出複線性映射)。利用局部坐標它規定如下:如果
凱勒結構 是埃爾米特度量,則伴隨的凱勒形式定義為(在差一個因子 i/2 的意義下)
凱勒結構 是閉的:即 dω = 0。如果 M帶有這樣一個度量則稱之為凱勒流形。
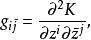
凱勒流形上的度量局部滿足
凱勒結構 對某個函式 K,稱為凱勒勢。卡拉比率先考慮了凱勒流形上的微分幾何問題,特別是典則度量(包括凱勒-愛因斯坦,常數量曲率凱勒度量和極值度量)的存在性與唯一性問題。丘成桐於七十年代取得了突破性進展,近年來此問題取得了數學界極其廣泛的關注,屬於微分幾何中的中心問題之一。
凱勒結構 一個凱勒流形,伴隨的凱勒形式和度量叫做 凱勒-愛因斯坦(Kähler-Einstein,有時也叫愛因斯坦-凱勒)的若且唯若其里奇張量與度量張量成比例,,對某個常數 λ。這個名稱是為了紀念愛因斯坦關於宇宙常數的考慮。更多細節見愛因斯坦流形一文。
例子
復歐幾里得空間C帶著標準埃爾米特度量是一個凱勒流形。
環面C/Λ(Λ 為一完全格)由C上繼承一個平坦度量,從而是一個緊緻凱勒流形。
黎曼曲面上每個黎曼度量是凱勒的,因為ω閉的條件在(實)2 維是平凡的。
復射影空間CP有一個齊性凱勒度量,富比尼–施圖迪度量。向量空間C上一個埃爾米特形式定義了GL(n+1,C) 中一個酉子群;一個富比尼–施圖迪度量在差一個位似(整體縮放)的意義下由這樣一個 U(n+1) 作用下的不變性決定;由初等線性代數,任何兩個富比尼–施圖迪度量在CP的一個投影自同態下是等距的,故無需言明通常就說富比尼–施圖迪度量。
一個凱勒流形的複流形上的誘導度量是凱勒的。特別地,任何施坦流形(嵌入C)或代數簇(嵌入CP)是凱勒型的。這對它們的分析理論是基本的。
單位復球體B有一個凱勒度量叫做伯格曼度量,具有常全純截面曲率。
每個K3曲面是凱勒的(得自蕭蔭堂的一個定理)。
1.C
2.C
3.黎曼曲面上每個黎曼度量是凱勒的,因為ω閉的條件在(實)2 維是平凡的。
4.CP
5.C
6.B
7.每個K3曲面是凱勒的(得自蕭蔭堂的一個定理)。
凱勒流形的一個重要子類是卡拉比–丘流形。
相關條目
• 殆複流形
• 超凱勒流形(Hyper-Kähler manifold)
• 凱勒–愛因斯坦度量(Kähler–Einstein metric)
• Quaternion-Kähler manifold
• 復泊松流形
• 卡拉比–丘流形
