理論定義
天文學家已經發現了許多太陽系外行星。當系外行星圍繞它們的恆星運行至恆星朝向地球的一面時,就發生了與“金星凌日”相似的現象,這種現象稱為“凌星”。凌星現象發生時,恆星的光芒因被遮擋而減弱。天文學家通過恆星的亮度變化可以確定系外行星的軌道傾角,進而確定它的質量。由觀察凌星搜尋外星行星的方法被叫做行星凌星法。
基本原理
凌星法的基本原理是,對於那些公轉軌道面與視線方向很接近的外星行星來說,行星有可能從母恆星的前方通過,情況猶如發生在太陽系中的水星凌日或金星凌日,天文學上稱為行星凌星。在凌星期間,恆星的亮度會因被前方的行星遮掩而減弱,並且這種亮度減弱現象的出現是周期性的,由此便可探知恆星周圍有行星存在。這種方法小望遠鏡也能發揮作用,但適用的對象較少。當然,因凌星現象而使恆星亮度減弱的程度是很小的,凌星發生時一顆木星大小的行星會使母恆星的亮度約降低約1%,而對地球大小的行星來說相應的數字僅為0.01%。由此可見,要通過這條途徑來發現外星行星,必須有很高的測光精度。
觀測方式
採集數據
首先確定進行觀測的目標源,根據所使用天文台望遠鏡所在地選取方便觀測的目標行星,選取對恆星的視星等干擾較大的行星進行觀測。
接下來確定凌星時間。根據國際凌星觀測網站提供的記錄數據確定凌星事件的預測時間,在預測時間前0.5~1.5 h安排儀器開始觀測使用V濾光片,根據源的亮度確定合適的曝光時間,最後在預測凌星事件結束0.5~1.5~h後停止觀測,防止因為預測時間不準確造成觀測源凌星過程未拍攝完整。
最後根據拍攝資料整理,獲取觀測數據。
誤差校正
獲取凌星觀測數據後,進行數據前期的預處理,由於CCD在工作過程中本身的熱電子噪聲、CCD像素間靈敏度的差異等因素而引入了附加效應,因此觀測所得到的CCD圖像並未完全真實地反映所拍攝天區的情況.為了消除這些附加效應,首先要對圖像進行預處理,包括零場校正、暗場校正和平場校正.正常觀測時一般拍攝多幅零場、暗場和平場圖像,校正前將多幅圖像分別用imred/cedred包下的zerocombine、darkcombine、flatcombine對零場、暗場和平場圖像進行合併,然後再對目標圖像用ccdproc命令進行校正。
數據處理
進行完這些預處理階段的工作之後,利用MaxiM DL軟體對待測恆星、周圍的比較星及校驗星進行較差測光,一般選取視場中兩顆與主星亮度相近的參考星和一顆校驗星。參考星和校驗星的位置、星等等信息來自SIMBAD以及USNO線上星表。較差測光過程中,要根據實際情況剔除由於天氣或觀測原因而不可用的圖像。套用MaxIM DL進行較差測光步驟如下:運用MaxIM DL打開預處理後的圖像,利用photometry命令進行目標星、參考星和校驗星的選擇,手動寫入查到的參考星的星等並設定測光的孔徑值。設定完畢、進行測光後可以得到目標星、參考星和校驗星的星等值.最後,得出待測恆星與校驗星的光變曲線,分別用於分析凌星事件和估計相對測光精度。
光變曲線
行星凌星法 運用觀測到凌星事件並利用孔徑較差測光方法得到待測恆星的光變曲線。
橫軸是儒略日,縱軸是V波段的星等值(my)。其中實心圓點表示待測系外行星主星(obj),空心三角形表示校驗星(chk)(為了方便比較,對校驗星的星等值進行了相應的平移)。圖中標出了通過實測光變曲線擬合得到的凌星的開始時刻、結束時刻和中間(JDmid)時刻,同時還給出了較差測光的相對精度值。
參數估算
利用凌星方法可以很好地對行星的半徑進行精確的測定,繼而結合利用視向速度方法得到的行星質量,可估算出行星的密度。對同一行星的多次凌星觀測後進行數據統計工作有助於對其參數進行更為準確的估算。
模型擬合
在得出凌星光變曲線後,TRESCA網站對於光變曲線進行數據模型擬合,Poddany等給出模型擬合方法如下:對於上傳的光變曲線的原始觀測數據,假設觀測的數據包括在t(i=1,2,3⋯)時刻的相對星等m(t),將數據利用以下公式進行模擬:
m(t)=A-2.5lgF(z{ttD,b},p,c)+B(t-t)+C(t-t)
其中F(z,P,C1)是主星(恆星)的相對流量值,由行星凌星現象導致其變化.P=Rp/R*是行星與其主星的半徑比, R*為恆星半徑(理論值由TRESCA網站給出),RP為行星半徑,並且Rp遠小於R*(P≤0.2).
恆星臨邊昏暗通過係數為C1的線性方程進行擬合.預計的行星相對恆星的距離為z.設定to為凌星中間時刻; D為整個凌星現象持續時間;將行星運動軌跡模擬為穿過恆星盤的直線,用參數b=acosI/R*表示,其中a為行星軌道半長徑,I為軌道傾角;通過以上設定可計算每個ti時刻的函式z[ti,to.D,b].採用occultsmall程式進行F(z,P,c1)的計算. (1)式中的變數A描述了星等的零點漂移,變數B和c描述了數據的系統變化趨勢.利用觀測時間平均值tmean=Σti/N的一次項和二次項的計算來減少數值誤差.其中沒有做明確的大氣質量曲率修正,因為一般二次多項式在大多數情況下是足夠的.
參數估算
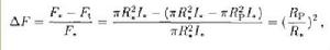
利用凌星法對系外行星探測研究的主要目標是得到凌星中間時刻to、持續時間D、凌星深度△F.這些重要參數可以通過(1)式中模型擬合後得到.通過凌星法能夠較為準確估算的行星幾何參數為行星半徑和軌道傾角.TRESCA網站給出下列方法求其參數.行星半徑由以下公式算得:
行星凌星法 其中△F為凌星深度,F*為非凌星時刻的恆星總流量,Ft為凌星時的恆星流量,I*為恆星強度.
軌道傾角可以由行星凌星總時間tz和行星公轉周期P(理論值由TRESCA網站給出)得到,具體公式為
行星凌星法 後續工作
1.根據所觀測數據建立一套系統的觀測、分析、處理方案,並加以推廣至更多凌星探測當中。
2.運用改進方案觀測尚未有凌星數據的系外行星,總結其運動規律及重要參數等。
3.運用此方案探索未知的系外行星,分析其物理規律。
主要作用
凌星法可以根據恆星亮度變化的周期性確定系外行星的軌道傾角,從而進一步確定行星質量。凌星法也可以了解行星大氣結構,當行星行經其母星,母星光線便會經過行星的最外層大氣。只要仔細分析母星的光譜,便能得知行星的大氣成份。而把發生次蝕時(即行星被其母星掩著)的光譜和次蝕前後的光譜相減,便可直接得到行星的光譜性質,從而得知行星的溫度,甚至能偵測到行星上雲的形成。
研究意義
通過測量恆星亮度的變化可以探測行星是否存在並得到較為準確的行星信息。除了探測並搜尋新的太陽系外行星,利用凌星觀測數據還可以獲得由其它探測方法(如視向速度法等)難以得到的一些行星物理參數,如半徑和密度等而這對於全面而深入地了解該行星的物理性質有著不可替代的作用。
另外即使是對以前已有凌星觀測的系外行星系統而言,新的更為精確的凌星觀測數據對於獲取精確的行星物理參數,乃至利用凌星發生時刻與時長的變化(即transit—timing variation方法)發現新的系外行星的存在等都有著十分重要的意義。
研究現狀
國際
歐洲航天局的對流旋轉和行星橫越計畫(COROT,COnvection ROtation and planetary Transits)以及美國國家航空航天局的克卜勒計畫(Kepler Mission)均會使用凌日法。COROT可以偵測到略為大於地球的行星,而克卜勒太空望遠鏡更有能力偵測到比地球更小的行星。預期克卜勒太空望遠鏡亦有能力探測到小軌道大型行星的反光,但不足以構成影像;如月球的月相,這些反光會隨時間而增加或減少,分析這些數據甚至可以顯示其大氣內的物質分布。透過這方法Kepler可以找到更多未被發現的系外行星。美國國家航空航天局計畫在2014年發射的太空干涉任務將使用天體測量法在鄰近恆星之中尋找類似地球的行星。
歐洲航天局的達爾文計畫(Darwin)探測器及美國國家航空航天局的類地行星發現者號(TPF,Terrestrial Planet Finder)則會嘗試直接拍攝系外行星的照片。2013年被提議的新世界成像系統(New Worlds Imager)更有遮光設備以阻擋恆星的光芒,容許天文學家直接觀察到暗淡的系外行星。
國內
2011年中國科學院國家天文台的劉玉娟等人利用興隆觀測站及日本岡山天體物理天文台(OAO)的望遠鏡,通過凌日法發現了一顆系外行星,並給出了重要參數。
雲南天文台錢聲幫研究員等人利用雲南天文台的60cm、1 m和2.4 m望遠鏡發現繞白矮星雙星轉動的系外行星。
雲南天文台王曉彬等人利用雲南天文台1 m望遠鏡,對SuperWASP項目的3個觀測目標進行了測光觀測和數據處理分析,得到了一些目標星的基本參數。
中國科技大學天體物理中心、美國佛羅里達大學天文系、南京大學天文系和雲南天文台聯合的LiJET(麗江系外行星追蹤者)計畫2015年進行系外行星的探測。

