簡介
共點圓
共點圓
共點圓
共點圓共點圓(concurrent circles)平面幾何術語,指多個圓的一種特殊位置關係.若干圓都通過同一
個點稱為共點圓.如圖1 ,有同一個公共點P,則是共點圓.又如圖2設,分別是△ABC的頂點A,B,C在直線L上的射影,X,Y,Z分別是L上任一點P在BC,CA,AB上的射影,則OXYZ, OXB'C' , OYC'A' , OZA'B‘共點於Q.通過與三角形有關的特定三個垂足點的圓.由一點向三角形每邊所在直線作垂線,通過三垂足的圓稱為該點對於三角形的垂足圓.例如圖2中的OXYZ即點P對於△ABC的垂足圓.
求共點圓
n次操作,每次加入一個以(x,y)為圓心,經過原點的圓,或者詢問一個點是否在所有圓中(包括圓周)。
方法一:
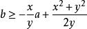
設一個圓的圓心為(a,b), 一個詢問點為(x,y),那么(x,y)在圓內或圓周上的條件是:
共點圓
共點圓
共點圓
共點圓也就是說,若一個詢問點在之前的所有圓中,那么對於每個圓心(a,b)都滿足這條式子,而這個式子是一個明顯的半平面形式,即問題變成了,每次加入圓的時候其實是加入一個圓心點,詢問變成是否所有點都在一條直線的上方。我們對操作分治,變成每次把左邊的點加進去,判斷右邊的詢問是否滿足。由於所有詢問都是點在直線上方問題,所以我們可以對點維護下凸包,二分斜率,看看那一個點是否在下面即可。複雜度為O( ) 。
方法二:
共點圓所有的圓都經過同一個點——原點!考慮圓反演,那么我們會得到很多直線,一個點在圓外也就是這個點反演後在直線的上方(這題中圓心都在x軸上方)。這樣問題就變成了是否每個點都被所有半平面包含。這個可以通過求半平面交再三分,二分,或排序之類的得到。複雜度也為O(),但是詢問的主體是不一樣的 。
