基本定義
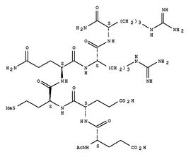
六胜肽六胜肽又稱六元胜肽(Areginine Essence),是從南極灣冰河泥中所發現的菌種叫單細胞綠濃菌所研發出六元胜肽,而且完全MP級無塵室生產過程的所製作出來的強效多肽蛋白;此物活性的六角縮氨酸,有效舒緩並抑制額頭抬頭紋,眼睛魚尾細紋及周邊肌肉的收縮與活動,幫助肌肉放鬆,使肌膚彈性組織恢復柔順平滑的線條。
基本內容
它具有類似能抑制神經傳導物質,阻斷神經肌肉間的傳導功能,避免肌肉過度收縮,就能防止細紋形成。六元胜肽能夠減能緩肌肉收縮的力量,讓肌肉放鬆,減少動態紋的發生與消除細紋;有效重新組織膠原彈力,可以增加彈力蛋白的活性,使臉部線條放鬆,皺紋撫平改善鬆弛。 可用於化妝品內,作為抗皺成分,且效果極佳。
六胜肽是一種類肉毒素成分,具有肉毒素全部功能,而不含任何毒性,是非毒性物質。主要成份是由六個胺基酸排列組合而成的生化產品.雖然常被和肉毒桿菌相提並論,它們的機制卻完全不同.六胜肽可攔截肌肉收縮的信號,減輕肌肉收縮的力道,進而改善細紋的深度和長度。它已經代替肉毒素成為引人注目的美容新寵。

