簡介
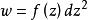
全純二次微分全純二次微分是一種特殊的二次微分式,是在局部坐標z下表為且在局部坐標變換下不變的微分式。若f是點z的全純函式,則稱w為S上的全純二次微分式。
由黎曼-羅赫定理可知:S上所有全純二次微分的全體是6g-6維實的向量空間。
套用
利用非零全純二次微分可做出S上的局部全純坐標系,即所謂自然參數。其作法如下:
全純二次微分
全純二次微分
全純二次微分設p∈S,z為p附近的局部坐標,z(p)=0,w=f(z)dz 。若f(z(p))=f(0)≠0,則在原點附近是單射,此處取為一單值分支,從而在p的鄰域內是一局部全純坐標。
全純二次微分
全純二次微分若p是w的n階零點,則存在以原點為中心的圓盤D(0;r),使得在其內,其中ψ(z)全純且ψ(z)≠0。取定的一個單值分支;
全純二次微分如n為奇數,則沿切割D(0;r),然後取z 在D(0;r)\I中一個分支;
如n為偶數,則無須切割D(0;r),總之,
全純二次微分
全純二次微分
全純二次微分是定義於D(0;r)\I的單值函式。可驗證是單值且在原點的導數不為0,從而可作為p點附近的局部坐標。
推論
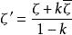
全純二次微分設0<k<1,ζ是S上某一非零全純二次微分w誘導的自然參數,令,易知ζ'滿足局部坐標的相容性條件,因而參可作為拓撲曲面S上的全純坐標。
由此產生一個黎曼曲面S'及泰希米勒空間的一個點[S',T],其中T:S→S'作為拓撲曲面S上的自同胚為恆等映射,T及[S',T]稱為泰希米勒形變。
