簡介
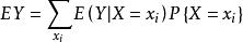
全期望公式全期望公式是利用條件期望計算數學期望的公式: 。
全期望公式是條件數學期望的一個非常重要的性質,其重要性堪比全機率公式在機率中的作用。
事實上,由全期望公式可證明全機率公式。
適用範圍
全期望公式
全期望公式全期望公式,對於離散型隨機變數X為: ,其中 表示對X的一切可能值求和;
全期望公式對於密度為f(x)的連續型X, 。
條件期望
條件期望又稱條件數學期望。為了方便起見,我們討論兩個隨機變數X與Y的場合,假定它們具有密度函式f(x,y) ,並以g(y|x) 記已知X=x的條件下Y的條件密度函式,以h(x)記X的邊緣密度函式。定義在X=x的條件下, Y的條件期望定義為:E(Y|X=x)=∫y*g(y|x)dy。
