基本形式
光和生物組織體相互作用的幾種表現形式或現象,包括吸收、反射、折射、散射、發光、光化學、光聲等現象。吸收是光和生物組織體相互作用的一種基本形式,其結果光強隨著光在組織中傳播距離的增加而不斷減小,未被吸收的光經組織體邊界出射,就得到了透射光。而組織體的巨觀或微觀的不均勻性可導致光傳播方向的改變,這一作用結果產生了反射、折射和散射現象。雖然研究光在組織體中傳播時一般可以忽略組織的偏振效應,但偏振光的偏振狀態隨組織體的不同或光傳播距離的不同而改變的現象確實存在,例如,當偏振光入射到組織如眼組織,單層細胞,皮膚表層等時,可以通過測量偏振光經組織後偏振度的改變來獲得組織和細胞的結構信息 。
上述的巨觀現象都是通過微觀的物理變化產生的,利用分子能級圖來解釋發生在組織體內部的各種微觀物理過程,從而將巨觀的現象和物質結構聯繫起來。我們知道,分子的能級比原子的能級要複雜得多,除了電子態外,原子在分子中的不同自由度決定了分子具有不同的振動能級,因此分子的每一個電子能態通常包含有若干個可能的振動能級。在組織體內部,不同能級之間的躍遷對應著不同的物理過程。當具有合適能量的光入射到組織體上時,光吸收可能使電子向上躍遷到不同電子激發態的不同振動能級上,當然也有可能使分子實現不同的振動能級之間的躍遷;而電子從高能級到低能級的衰變過程中也可採用無輻射躍遷的方式向周圍發出熱而將多餘的能量消耗掉,從而形成了光熱、光聲、光電導等現象;對於某些組織體,電子從最低激發態的最低振動能級開始的向下躍遷過程還可能採取發出一個光子但不改變其自旋的過程,所發生的光子即為螢光;對於某一類具有受激虛態的物質,處於基態某振動能級上的分子與入射光子碰撞後獲得能量躍遷到受激虛態,如果分子從受激虛態向下躍遷時回到了電子基態中的其他振動能級時,此時不但會觀察到和入射光同頻率的光(瑞利散射)也會同時觀察到比入射光頻率大和小的光,稱其發生了拉曼散射。
從上面的介紹可見,儘管光和生物組織體相互作用的形式很多,但影響光在組織體中傳播的三個基本物理過程是反射(折射)、散射以及吸收,,對於某一種生物組織體這三個過程以哪個為主,取決於生物組織的類型和入射光的波長,光學參數就是用來定量地描述生物組織體在某一波長下具有某種光學行為能力的量,除了用折射率描述反射和折射外,我們將引入吸收係數和散射係數來分別描述組織體對光的吸收和散射能力。
吸收效應
2.1吸收效應和吸收係數
光的吸收是指光在通過生物組織體時由於部分光能轉換成熱或分子的某種振動而導致光強度衰減的過程。生物組織體可根據其對光的吸收能力分為透明和不透明體,所謂透明是指允許光通過而完全不被吸收,即進入組織體的總輻射能量與出射的能量相等;相對應的,使入射輻射能量降為零的組織體被稱為不透明體。要說明的是,除了真空,沒有一種媒質對任何波長的光是完全透明的,只能是對某些波長範圍的光透明,而對另一些波長的光不透明,也就是說所謂透明和不透明只是相對於某個波段而言的,例如,人體組織中的角膜和晶狀體在可見光波段近似於透明體,但在紅外波段卻表現出強烈的吸收。根據吸收波段的不同,生物組織體也可被分為一般吸收組織體和選擇性吸收組織體,對一定光譜範圍內的所有波長光的衰減程度相同或相似的被稱為一般吸收組織體,而只對某些特定波長的光有吸收或吸收比較強的被稱為選擇性吸收組織體。
描述組織體對光的吸收能力的參數有吸收係數和吸收截面,吸收截面定義為被吸收的光功率P與入射光強I之比,即
光與生物組織體的相互作用很顯然吸收截面具有面積的單位,如圖2.3所示。假設均勻分布的吸收粒子的密度為ρ(單位定義為
cm ),定義
光與生物組織體的相互作用式中,μ被稱為吸收係數,代表單位長度上一個光子被吸收的機率,其單位為mm 或cm 。對於一個小的路徑dx,光子在此路徑上被吸收掉的機率為μdx,因此吸收係數越大,代表組織體對該波長的光的吸收也越大,對於均勻組織體,在650nm~1.4μm範圍內,其吸收係數一般在0.003~0.3mm 。被稱為吸收平均自由程,代表兩次吸收之間光子行進的平均距離 。
2.2分子吸收種類
我們知道,生命的基本單元是細胞,而細胞又是由分子組成的,例如,控制細胞化學作用的DNA本身就是一個分子。因此雖然生物體極其複雜,但從化學本質上來說,生命就是有碳、氫、氧、氮、磷等原子組成的,各個原子之間以化學鍵相連而組成分子。
自由的基態原子當收到外界作用時,原子外層電子就會發生從基態到高能級的躍遷也就是產生了原子吸收譜線。必須注意到,上面提到的一個很重要的條件是該院自為自由的,所謂自由是指原子之間的相互作用可以忽略,然而,在生物組織體中原子並不是處於自由狀態的,原子靠化學鍵聚在一起組成分子,而且組成的是大分子,很顯然分子對電磁波的吸收與單個原子的吸收相比要複雜得多。
分子之所以能夠吸收不同波長的光,是因為分子在不同的運動狀態下處於不同的能級。除平動外,分子內部還存在三種不同的運動方式,即電子相對於原子核的運動、原子核間的相對振動和分子的轉動。按照量子力學的觀點,分子所有這些運動狀態都是量子化的,因此在分子能級圖中,除了我們所熟知的電子態外,原子在分子中的不同自由度導致了分子具有不同的振動能級,而分子的不同旋轉又造成了分子具有不同的轉動能級。分子的每一個電子能態包含若干個可能的振動能態,而每一個振動能態又包含若干個轉動能態,這樣的結構通常被表示成雅布倫斯基圖。
2.2.1電子態之間的躍遷
分子中與吸收光譜有關的三種電子是:構成單鍵(如C-C、C-H鍵)的σ電子,構成雙鍵(如C=C鍵)的π電子以及未共享成鍵的n電子。分子中這些聯繫比較鬆散的價電子在吸收光輻射能量後可以產生電子態之間的躍遷,此時電子由一個低能級的軌道(即成鍵軌道)躍遷到高能級軌道(稱為反鍵軌道,用上標*表示)分子也由基態變成為激發態。
根據量子理論,實現電子軌道之間的躍遷所需要的能量等價於價電子的高、低能級軌道間的能量差,電子能級的級差越大,一般為1~20eV。各種電子躍遷所需能量大小的順序是:n→π*<π→π*≤n→σ*<π→σ*<σ→π*<σ→σ*,即σ→σ*躍遷需要的能量最高,一般該吸收發生在真空紫外區,例如,C-H的電子躍遷發生在100-150nm波段。π→π*躍遷需要的能量低於σ→σ*躍遷,吸收峰一般發生在近紫外區(nearultraviolet),例如,C=O的吸收發生在小於200nm波段。n→π*躍遷需要的能量較低,吸收峰一般位於近紫外和可見光(visible)區。總的來說,電子態之間的躍遷所引起的吸收出現在可見光、紫外(ultraviolet)或波長更短的光譜區。
2.2.2振動能級間的躍遷
分子的振動可分為伸展運動和彎曲振動,所謂伸展振動是指原子沿著價鍵方向來回地運動,而彎曲振動是指原子在垂直於價鍵方向的運動。不同的分分子振動狀態具有不同的振動能級,振動躍遷就是當分自從一個振動態變到另一個振動態時的過程當照射在組織體上的光輻射具有合適的能量時,就有可能被分子吸收而引起振動能級的躍遷。對於生物組織體,引起振動躍遷的能量通常對應在紅外(infrared,IR)區域。某一個鍵吸收與其振動基頻相等的紅外線,稱為基頻吸收,如果設基頻為ν,會發現在2ν附近有時也會出現較弱的吸收,稱之為倍頻吸收。倍頻吸收是由於分子從基態躍遷到第二第三激發態所引起的,一般倍頻峰的強度只相當於基頻峰強度的1/10~1/100.當一個分子同時存在有兩個振動頻率ν1、ν2時,則能在分子內耦合產生新的振動頻率ν′=ν1+ν2和ν″=ν1+ν2,分子由基態躍遷到ν′和ν″這兩個振動態所產生的吸收被分別稱為合頻吸收和差頻吸收,這些頻率也位於紅外區,其吸收峰強度比基頻吸收也弱得多。
2.2.3轉動能級間的躍遷
分子的轉動是指分子繞質心進行的運動,轉動能級代表分子處於不同轉動狀態時所具有的能量,分子吸收了入射光的能量引起了不同振動能級躍遷所需要的能量,通常其吸收譜位於紅外區。由於轉動吸收光譜是在振動吸收光譜的基礎上所產生的附加的精細結構,因此使光譜圖更加複雜。紅外光譜區所測得的吸收表現了分子的振動和轉動吸收的加和,紅外光譜也因此成為分子光譜或振動光譜。
2.3生物組織中的吸收物質
組織體在紫外到紅外光波段的吸收物質主要包括水,血液中的血紅蛋白、血糖、皮膚中的黑色素、肌肉中的肌球素、脂類以及各個細胞中都存在的細胞色素。這些物質之所以有吸收是因為其具有生色團,如蛋白質是由20種胺基酸組成的,芳香族胺基酸由於具有共軛雙鍵,因此在紫外具有吸收。生色團最初被定義為:能在一個分子中導致在200~1000nm波段內對光進行有選擇性吸收的化學基團。事實上,現在生色團的含義在很多時候被更大地外延了,在很多文獻中,生色團被用作了吸收物質的代名詞 。
2.4朗伯-比爾定理
1729年布格和朗伯先後發現:對於一個具有均勻的吸收粒子分布的煤質,設平行光在其中傳播,一薄層材料所吸收的光能或光強度之百分比數依賴於吸收物質、入射光波長和吸收層的厚度。若吸收物質的濃度一定,則對一連串吸收薄層求和或對確定厚度積分,可以得到透過的光強度和吸收層厚度之間的指數關係式。
對於厚度無限薄的吸收層dl,某一波長光強的減少為
光與生物組織體的相互作用公式2.4
式中,ε稱為摩爾吸光係數,其單位為mM ·cm 或μM ·mm (M為物質的量濃度的符號);C為吸收物質的物質的量濃度,單位為mol/L.摩爾吸光係數是吸收物質在特定溶劑中、特定波長處的特性,不隨濃度C(單位為mmol/L)和光程的改變而改變。
設入射到媒質中的初始光強為I,測量得到的投射光強為I,對整個吸收介質的長度l的積分
光與生物組織體的相互作用或
光與生物組織體的相互作用式中,l單位為cm 。A=ln(I/I)被稱為吸光度,上式一般稱為朗伯定律。
比較上兩式,可得
光與生物組織體的相互作用
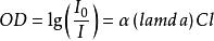
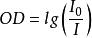
光與生物組織體的相互作用1852年,比爾也道出了一個描述吸收和吸收物質的分子數目之間關係的相似公式,其表述為:對溶解在非吸收媒質中的吸收物質,溶液或媒質所吸收或通過的光強是溶液中吸收物質的濃度和光通過樣品的光程長度的指數函式,或者說光密度(OD)即 正比於溶液中的吸收分子的濃度,即
光與生物組織體的相互作用式中,α稱為比消光係數。根據其定義可知,比消光係數也是吸收物質在特定溶劑中、特定波長處的特性,它不隨吸收物質的濃度和光程長度的改變而改變。
在朗伯-比爾定理中,吸收均發生於同一截面的容積內,吸收過程中吸收物質的行為互不相關,且沒有螢光化合物存在,也沒有發生由於光輻射而改變媒質性質的現象存在,對於具有n個吸收物質的溶液,根據式(2.8),光的總密度可寫為
光與生物組織體的相互作用朗伯-比爾定理是比色法和分光吸收光度法所依據的基本定律,而式(2.9)是測定混合物中各吸收物質的含量的定量方法的理論基礎。
散射反應
光在組織體中的傳播速度約為0.21mm/ps.
3.1散射
在人體內部發生散射的原因是組織體的密度、折射率、介電常數等在空間的雜亂分布。我們知道,任何物質都是由分子和原子組成,從原子的尺度看(10-10m),沒有任何的組織在此量級上是絕對均勻的,我們把這一尺度稱為微觀尺度 .但是若以可見光波長(約為10-7m)為尺度來衡量組織體的原子組成,則此時組織體又是均勻的,我們稱這一尺度為半微觀的。在這種情況下,如果尺度達到可見光波長數量級的組織小塊間存在折射率的較大差異,那么光線除了按照幾何學光學規律傳播發生反射和折射外,還會發生散射。因此生物組織體對光的強散射性正是源於折射率的半微觀上的不均勻性,也就是說在處理光在組織體內部的傳播問題時,不但光要被作為粒子(光量子),組織體也要被看作是亞微米或微米量級尺度的離散顆粒組成的,如果組織體的不均勻尺度遠大于波長的數量級,例如,處理組織體邊界、組織體和探測器以及組織體之間的區域時,我們稱之為巨觀尺寸,此時往往只討論組織體的巨觀不均勻性和光的波動性,也就是只考慮所發生的光反射和折射現象。
根據光量子和被作用分子是否有能量的交換,可將散射分為彈性散射和非彈性散射。(詳見瑞利散射,米氏散射,拉曼散射)
組織體發光
儘管我們肉眼看不到,事實上任何有生命的物質都發射一種強度為10~104光子/(cm2·s)的超弱光子流,其發射光譜覆蓋紅外、可見到近紫外的寬譜區,稱之為生物自發超弱發光。
生物組織體在光的作用下可以發出螢光和磷光,一般在常溫下,生物組織體只發螢光,磷光作用很難被檢測到而通常被忽略。有許多生物分子本身是發螢光的,如維生素A、葉綠素、NADH等,還有一些生物組織是分子中某些基團能發射螢光,例如,蛋白質中的芳香胺基酸,tRNA中的Y鹼基,而大多數的組織本身是不發螢光的。
4.1生物組織的螢光效應
當用280nm的紫外光激發蛋白質或核酸時,會測量到中心位於350nm的螢光,螢光的產生過程可用動力學過程表示式中,νi和νf分別為吸收的光頻和發射螢光的光頻。前一個式子為光化學初級過程,光吸收速率為Ii;後一個式子為螢光產生步驟。因此,螢光是物質在吸收了外來激發光並通過光化學過程後發射的波長長於激發光的光。詳見百度百科螢光效應。
4.2生物組織的自體螢光與外螢光
4.2.1自體螢光
由生物組織體內固有的螢光團吸收一定波長的光而引起的螢光發射叫做自體螢光。
由於基態具有不同的振動能級,因而每種物質都會發出多個波長的特徵螢光,也就是形成螢光帶,當然,不同的物質也會發出不同的特徵螢光。因此,不同波長的雷射作用於同一組織,其發出的自體螢光也是有差別的,不同組織由於所含螢光物質種類及數量不同,即使被同種波長的雷射激發時產生的自體螢光也不同。一般認為,與正常組織相比,病變組織由於其物理、化學特性均發生了變化,對應的自體螢光光譜將發生變化,因此自體螢光光譜的特異性差異反映了病變組織的特異性,這正是自體螢光光譜套用於醫學診斷的基礎。
4.2.2外螢光
對於大多數生物組織體來說,其大分子中不含螢光團,因此常需要用一些能發螢光的物質與生物組織大分子共價結合,利用螢光物質的螢光特性來標記所要研究的大分子中的某一基團,這些發螢光的物質分子就叫做外在螢光團,也被稱為探針。螢光探針必須具備以下幾個條件:①探針與被研究分子的某一基團必須能夠特異性地,牢固地結合;②探針的螢光必須對環境條件靈敏;③結合的探針不應該影響被研究的大分子的結構特性。
螢光探針種類繁多,例如在測定蛋白質時,目前常用的探針有螢光胺(fluorescamine)、丹硫醯氯(dansyl-Cl)和鄰苯二甲醛(OPA)等,這些探針可在一定條件下與蛋白質分子中的氨基結合,但其共同的缺點是自身或其衍生物不穩定、螢光衰減快、水溶性低。常用的探針還有螢光素的衍生物,如異硫氰酸螢光素(FITC)及氨基螢光素(DTAF),它們的優點是螢光量子產率高,但斯托克斯位移小(約30nm),因此和激發光譜重疊,背景干擾較嚴重。
光聲效應
光子的行為會受到組織體的影響從而使光可以作為診斷的工具,光也可以影響細胞或組織體,此時光就可以用來作為治療的工具,光熱效應(photothermaleffect)就是光作為治療工具的一種典型代表。光熱效應是由於組織體在曝光時間內吸收了雷射的能量並使其轉化成了熱,熱效應的最終結果是造成了組織的損傷。光熱效應是醫學上最常用的一種雷射與生物組織相互作用之一,也是產生光聲效應(optoacousticeffect)的基礎。
5.1熱的產生
當光入射到組織體時,組織體中的分子吸收光的能量躍遷到高的振動或者轉動能級,在從高能級向低能級的無輻射躍遷中,分子將能量釋放給周圍組織,從而引發了周圍組織發熱。
設入射組織體表面的光強為E,單位為W/cm2,曝光時間為T,單位為s,根據輻射率和組織體的吸收係數μa,可以得到光熱密度的表達式為
光與生物組織體的相互作用其單位為J/cm3,ET也常被稱為輻照曝光量,單位為J/cm 。光熱密度引起的組織體表面溫升為
光與生物組織體的相互作用式中,C為熱容,用來描述組織體對熱的儲存能力(單位為J/(g·℃));ρ為密度(單位為g/cm ),不同組織體對熱的儲存能力不同,例如水的ρ等於1g/cm ,C等於4.18J/(g·℃)。
另一方面我們可以看到,當組織體表面被光照射之後,由於光被表面組織或淺層組織吸收,使到達深層組織的輻射度減少,進而在深層組織內引起較小的溫升,在深度z處可能引起的溫升為
光與生物組織體的相互作用
光與生物組織體的相互作用
光與生物組織體的相互作用當溫升為表面溫升的1/e時,對應的深度為 , 也被稱為光學穿透深度。
前三個公式表明,組織體內的溫升或組織損傷的程度主要取決於輻射能量密度、曝光時間和組織體的參數。從輻射度的定義可知,輻射度的大小取決於光波長、功率密度以及光斑尺寸等的大小。在光熱效應中,對熱的產生和傳播其主要作用的組織體的闡述是組織體的吸收係數和熱容。由於吸收係數也和入射光的波長有關,因此組織體內的溫升對入射光波長具有很大的依賴性,在可見光和紫外區,由於黑色素和血紅蛋白的吸收較高,熱的作用主要取決於組織體中黑色素和血紅蛋白這樣的大分子的含量,在紅外區,水的吸收係數以幾個數量級大小增加,因此在此波段水對光熱效應起到重要的作用。所以我們可以看到對於人體的不同部位,同樣的曝光時間和光輻照密度,組織體所收到的損害程度是不一樣的。
熱在組織體中的傳導用輻射傳輸方程及其近似解法均可適用。
5.2熱對組織體的效應及套用
光照射組織體後因為組織體的吸收作用而引起熱效應,從而引起組織體溫度的升高,溫度升高可產生可逆和不可逆兩種組織體損傷過程,損傷程度可分為體溫過高、凝結、氣化和碳化。其中體溫過高時可逆過程,而其他幾種屬於不可逆過程。
體溫過高:正常體溫為37℃,體溫過高是指當組織體溫度處於42~50℃範圍內的一種狀態,如果此溫度持續幾分鐘則大部分組織將壞死。
凝結:當組織體溫度達到60℃時,蛋白質和膠原蛋白會產生變性作用,導致組織產生凝結並且細胞壞死,巨觀上可看到組織變暗。但要注意的是,當組織體的溫度低於60℃,例如採用不高於60℃的熱療時,細胞是否存活還依賴於溫度的持續時間和組織向周圍散熱情況。凝結作用的醫學套用包括治療腫瘤的雷射誘導間質療法,其基本思想是把雷射射到需要凝結的組織或腫瘤上,然後把腫瘤組織加熱到60℃以上使腫瘤組織凝結,和通常的外科手術相比,雷射誘導間質熱療法很少發生大量的出血現象。
氣化:在100℃時組織體中的水開始氣話並形成氣泡,從而引起組織基團機械破裂和熱分解。要注意的是水的汽化從某種意義上講是有益的這是因為汽化過程帶走了一部分熱,從而有助於防止附近其他組織溫度的大量升高,只有當所有是分子都被汽化而曝光仍在持續時,組織的溫度才會持續升高。
碳化:當組織溫度升高到150℃時,組織開始碳化,組織體變黑,即碳化現象發生了。在雷射的醫學套用中,在任何病例中都應該儘量避免碳化作用的發生,這是由於組織會在比碳化溫度低的溫度下壞死。在臨床上,碳化具有副作用,例如在外科手術中碳化作用會導致可見度降低。
熔融:當組織體的局部溫度達到300℃時就會發生熔融現象,此時組織體的表面產生蓉蓉物質和氣泡。
要注意的是,組織體的損傷是曝光能量、曝光時間以及組織體特性的綜合效應,如果提供了足夠的功率密度和曝光時間,任何類型的雷射器都可使組織體碳化和熔融。
5.4光聲效應
光聲效應
光化學效應
光化學效應
