基本概念
光纖斷口分析
光纖斷口分析
光纖斷口分析
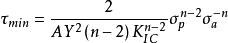
光纖斷口分析抗張強度低於9.81×Pa(100kg/mm2)的光纖斷口很典型,其邊緣處有一破斷源、周圖為平坦光滑的鏡面區,再外面是凸起或凹下的針狀區,如破斷源在內部則鏡面區近似圓形。根據觀察到的破斷源的外形、尺寸和位置,結合微區成份分析、光纖斷口分析,可以確定光纖破斷原因,例如發現La,.Nd及其他稀土元素是天然石英的雜質,表面含Mg、Ca等是操作環境中的灰塵污染,含Fe、Cr等可能是氣相技術中氫氧燈飛出的金屬微粒的污染,Pt是坩堝材料對光纖的污染等。此外,根據斷口鏡面區尺寸R與破斷應力間關係,在這裡A為常數,以及鏡面處尺寸與裂紋尺寸間存在的函式關係,還可計算出斷裂力學的基本參數。
光纖強度的統計特性
光纖強度作為隨機變數和採用統計分布函式描繪和分析的特性。這是由於光纖強度受裂紋控制的本質所決定的,也就是對於一定長度的纖維,破斷髮生在最深最嚴重的裂紋處。主要分布在光纖表面上的裂紋是由許多種可能因素造成的,其尺寸、密度和位置難以控制和確定,這就決定了裂紋分布的隨機性,因此只能用分布函式來描繪一根光纖。的強度或用大量數據的統計特徵值如最大值,最小值,平均值和標準偏差來表示其強度特性,並用此對不同光纖的強度特性作比較和判別。
光纖篩選試驗
光纖斷口分析使一根長光纖的每一段都經受一個預定的張應力或應變的檢驗方法。一種非破壞性方法。具有某一篩選強度的光纖在經受與篩選應力相同的外力作用時受到破壞的可能性很小,所以篩選強度又稱為保證強度。同樣也可以保證這樣的光纖在某一使用應力。作用下具有最小的使用壽命。
光纖斷口分析的計算式為:
光纖斷口分析
光纖斷口分析
光纖斷口分析在這裡為篩選應力或篩選強度,A、Y、和n分別為與材料和環境條件有關的特徵參數並可用實驗方法確定。

