單模光纖截止波長
光纖截止波長
光纖截止波長
光纖截止波長
光纖截止波長
光纖截止波長
光纖截止波長
光纖截止波長
光纖截止波長
光纖截止波長
光纖截止波長
光纖截止波長單模光纖的正常傳輸模式是線性偏振模,(包括的兩個正交模式)。所謂截止波長是指高階模式(包括、兩個圓偏振模及的兩叩正交模式所組成的四個簡併模式)的截止波長。單模光纖傳輸系統的工作波長必須大於截止波長,否則,光纖將工作在雙模區。由於模式的存在,將產生模式噪聲和多模色散,從而導致傳輸性能的惡化和頻寬的降低。右圖表示單栲光纖的本徵函式及曲線,以及折射率剖面分布。由圖可見,單模光纖的工作區域是:。
光纖截止波長為歸一化頻率
光纖截止波長
光纖截止波長
光纖截止波長
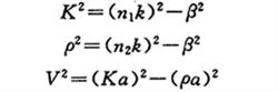
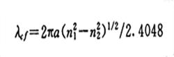
光纖截止波長式中,a為纖芯半徑,,分別為纖芯和包層折射率,λ為工作波長。V=2.4048是模的截止值。當光纖的結構參數已定時,該光纖的截止波長為:
光纖截止波長
光纖截止波長
光纖截止波長
光纖截止波長
光纖截止波長
光纖截止波長當工作波長大於截止波長時,只有模能正常傳輸,高階模式進入截止區,模式從傳導模變成漏泄模。漏泄模是本徵方程在截止區外的解,的漏泄模就是的傳導模在截止區外的解析連續。他們的場是相同的,但其本徵值或傳輸常數是本徵方程的複數解,因而漏泄模在傳輸中有固有衰減而無法正常傳輸。比較傳導模和漏泄模可見,傳導模的傳播常數為:
光纖截止波長而漏泄模的傳播常數屬輻射模區,但仍為離散的複數值。
光纖截止波長
光纖截止波長式中,k為真空波數,k=2\λ.
漏泄模的本徵值和歸一化頻率分別為
光纖截止波長
光纖截止波長式中,K和分別為纖芯和包層的橫向相位常數,比較傳導模和漏泄模的參數範圍,可以進一步了解兩者的區別。
光纖截止波長(1)傳導模,K是實數,是虛數
光纖截止波長
光纖截止波長(2)漏泄模K,都是複數
光纖截止波長
光纖截止波長
光纖截止波長
光纖截止波長
光纖截止波長右上圖中畫出了模在截止區外的的實部及虛部的曲線。
光纖截止波長
光纖截止波長
光纖截止波長綜上所述,單模光纖的工作波長必須大於模的截止波長(亦即V值必須小於2.4048),但工作波長不宜偏離截止波長太遠(即V值太小),因V值太小,模式的有效傳播常數愈小,有更多的光功率分布在包層中,影響傳輸倒能,當V=2.4048時,基移有83%的光功率分布在纖芯區,17%在包層區。V值愈小,將有更多的光功率分布在包層區內,光場的約束性愈差。
光纖截止波長的測量
光纖的截止波長也是光纖的一個重要的參數。如果光纖的截止波長大於光纖的工作波長,在光纖中將形成多個振盪模式,而不能進行單模傳輸。
光纖截止波長在實際工程中測量光纖的截止波長,常常是測量2m光纖的截止波長λc或22m光纖的截止波長λc,CCITT規定工作波長為的單模光纖截止波長應滿足
光纖截止波長或
光纖截止波長測量圖
光纖截止波長
光纖截止波長單模光纖的截止波長可以採用傳輸功率法進行測量。所謂傳輸功率法就是根據光纖中傳輸光功率隨波長變化的關係來確定截止波長。將譜線寬度小於10nm的單色光送入被測光纖或參考光纖,傳輸後經光檢測器變為電信號,經過鎖相放大器放大,送入計算機進行處理,並列印出結果。長度為2±0.2m長的待測光纖打一個固定的半徑為140mm的圈,使輸人光可以均勻激發基模和次低階模,測出經過它傳輸後的光功率為(λ)再把該光纖多打一個半徑為30mm的小圈,使只能激發基模振盪,測出經過它傳輸後的光功率為(λ),得出
光纖截止波長繪出如右圖所示的曲線。則0.1 dB線與曲線的交點對應的最大波長就是待測光纖的截止波長λ。

