簡介
保證特定的誤碼率時,光接收機所需的最小平均光功率,用毫瓦分貝表示為
光數字接收機靈敏度S=10lg ,dB
式中Pr是指在隨機碼情況下的平均光功率。對誤碼率的要求不同,接收機的靈敏度也不同。一個性能優良的光接收機應該以儘量小的最小接收功率保證給定的信噪比,也就是儘可能高的接收靈敏度。所有的誤差源都有可能限制靈敏度的提高,其中最主要的因素是噪聲,有時也要考慮碼間串擾的影響。碼間串擾指的是:光纖色散和光接收機的有限頻寬都會引起脈衝展寬,造成碼間串擾。從而降低接收機的靈敏度。
量子極限
設有一理想判決器,它對一個電子能正確判決為傳號“1”,對無電子能正確判決為空號“0”。光照射在光檢測器中所產生的光電子數是隨機的,即使有光子投射於光檢測器上,有時也不能產生電子,所以在理想的判決器上,也不能保證無誤碼。這種誤碼是由量子噪聲造成的。具有理想判決器的接收機的靈敏度稱為量子極限靈敏度。若光投射於光檢測器上產生電子的隨機性按泊松分布規律計算,求得量子極限為
光數字接收機靈敏度P=﹣
式中h為普朗克常數;v為光頻;T為碼流的時隙;η為光檢測器的量子效率;Pe為所要求的誤碼率。任何光數字接收機的靈敏度不會優於其量子極限。
PIN光接收機的靈敏度 光接收機的靈敏度取決於光檢測器的光量子噪聲及電子線路的熱噪聲。在PIN光接收機中,熱噪聲占主要地位,光量子噪聲可忽略。誤碼率為Pe的PIN光接收機的靈敏度
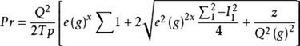
光數字接收機靈敏度P=
式中ρ是光檢測器的回響,ρ=,e是一個電子的電量;z是光接收機的熱噪聲功率,可由理論計算求得或實測;Q是超擾值,可從機率積分表中查出(例如已知Pe=10,可得Q=6)。
APD光接收機靈敏度計算
APD光接收機除了有電子放大器的熱噪聲和光檢測器的量子噪聲以外還具有APD的倍增噪聲。量子噪聲可忽略。理論和實驗證明APD的倍增噪聲功率與倍增因子(g)2+x成正比,x為APD的過剩噪聲指數,它取決於器件的材料和工藝質量。一般Si-APD的x=0.3~0.5;InGaAs-APD和Ce-APD的x=0.6~1間。(g)和x由器件手冊給出。APD光接收機的靈敏度
光數字接收機靈敏度式中∑1、I1是與脈衝信號的波形和碼間干擾有關的參數,稱為珀森尼克(personic)波形參數,可根據輸入光接收機的波形和均衡成升餘弦波的參數計算或查表求得。以上計算方法是CCITT推薦的。
增大倍增因子(g)可使信號增大(g)倍,倍增噪聲也會隨之增大(g)2+x倍,因而存在一最佳倍增(g)opt使信噪比最優。調節APD的工作點,可使其工作在(g)opt狀態。
要精確計算APD光接收機靈敏度比較困難,因為它還與APD的暗電流、光數位訊號的消光比以及模分配噪聲等其它因素有關。
APD光接收機的靈敏度比PIN光接收機的靈敏度優5~10dB。
